Trong thí nghiệm Y –âng về giao thoa ánh sáng, khoảng cách giữa hai khe sáng là 1mm, khoảng cách
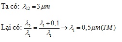
Trong thí nghiệm Y –âng về giao thoa ánh sáng, khoảng cách giữa hai khe sáng là 1mm, khoảng cách từ mặt phẳng chứa hai khe đến màn quan sát là 2,5m. Ánh sáng chiếu đến khe gồm hai ánh sáng đơn sắc trong vùng ánh sáng khả kiến có bước sóng λ1 và λ2 = λ1 + 0,1 µm. Khoảng cách gần nhất giữa hai vân sáng cùng màu với vân trung tâm là 7,5 mm . Giá trị của λ1 là
Đáp án đúng là: D
Quảng cáo
Đáp án cần chọn là: D
>> 2K9 Chú ý! Lộ Trình Sun 2027 - 1 lộ trình ôn đa kỳ thi (TN THPT, ĐGNL (Hà Nội/ Hồ Chí Minh), ĐGNL Sư Phạm, ĐGTD, ĐGNL Bộ Công an, ĐGNL Bộ Quốc phòngTD - Click xem ngay) tại Tuyensinh247.com. Cập nhật bám sát bộ SGK mới, Thầy Cô giáo giỏi, 3 bước chi tiết: Nền tảng lớp 12; Luyện thi chuyên sâu; Luyện đề đủ dạng đáp ứng mọi kì thi.
![]() |
![]() |
![]() |
![]() |
![]() |
![]() |
![]() |
![]() |
Hỗ trợ - Hướng dẫn
-
024.7300.7989
-
1800.6947
(Thời gian hỗ trợ từ 7h đến 22h)
Email: lienhe@tuyensinh247.com













