Cho đoạn mạch AB gồm 3 đoạn mạch AM,MN, NB mắc nối tiếp. Đoạn mạch AM chứa tụ điện có
Cho đoạn mạch AB gồm 3 đoạn mạch AM,MN, NB mắc nối tiếp. Đoạn mạch AM chứa tụ điện có điện dung C =
F, đoạn mạch MN chứa cuộn dây có điện trở thuần 10Ω và độ tự cảm L =
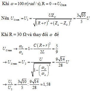
H , đoạn NB chứa biến trở R. Đặt vào AB một điện áp xoay chiều có tần số thay đổi được. Khi cố định tần số bằng 50 Hz, thay đổi R thì điện áp trên đoạn mạch AM đạt giá trị cực đại U1 . Khi cố định R = 30Ω, thay đổi tần số thì điện áp hiệu dụng giữa hai đầu đoạn mạch AM có giá trị cực đại U2. Giá trị
bằng :
Đáp án đúng là: A
Quảng cáo
Đáp án cần chọn là: A
>> 2K9 Chú ý! Lộ Trình Sun 2027 - 1 lộ trình ôn đa kỳ thi (TN THPT, ĐGNL (Hà Nội/ Hồ Chí Minh), ĐGNL Sư Phạm, ĐGTD, ĐGNL Bộ Công an, ĐGNL Bộ Quốc phòngTD - Click xem ngay) tại Tuyensinh247.com. Cập nhật bám sát bộ SGK mới, Thầy Cô giáo giỏi, 3 bước chi tiết: Nền tảng lớp 12; Luyện thi chuyên sâu; Luyện đề đủ dạng đáp ứng mọi kì thi.
![]() |
![]() |
![]() |
![]() |
![]() |
![]() |
![]() |
![]() |
Hỗ trợ - Hướng dẫn
-
024.7300.7989
-
1800.6947
(Thời gian hỗ trợ từ 7h đến 22h)
Email: lienhe@tuyensinh247.com













