Trong thí nghiệm giao thoa Young với ánh sáng đơn sắc có bước sóng λ= 0,6μm , khoảng cách giữa
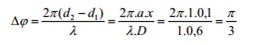
Trong thí nghiệm giao thoa Young với ánh sáng đơn sắc có bước sóng λ= 0,6μm , khoảng cách giữa hai khe F1, F2 là a = 1mm. Khe hẹp F cách đều hai khe và màn E đặt cách mặt phẳng chứa hai khe 1m. Tại điểm trên màn E cách vân sáng trung tâm 0,1 mm về phía F1 có độ lệch pha giữa hai sóng do hai khe F1, F2 truyền tới là:
Đáp án đúng là: B
Quảng cáo
Đáp án cần chọn là: B
>> 2K9 Chú ý! Lộ Trình Sun 2027 - 1 lộ trình ôn đa kỳ thi (TN THPT, ĐGNL (Hà Nội/ Hồ Chí Minh), ĐGNL Sư Phạm, ĐGTD, ĐGNL Bộ Công an, ĐGNL Bộ Quốc phòngTD - Click xem ngay) tại Tuyensinh247.com. Cập nhật bám sát bộ SGK mới, Thầy Cô giáo giỏi, 3 bước chi tiết: Nền tảng lớp 12; Luyện thi chuyên sâu; Luyện đề đủ dạng đáp ứng mọi kì thi.
![]() |
![]() |
![]() |
![]() |
![]() |
![]() |
![]() |
![]() |
Hỗ trợ - Hướng dẫn
-
024.7300.7989
-
1800.6947
(Thời gian hỗ trợ từ 7h đến 22h)
Email: lienhe@tuyensinh247.com













