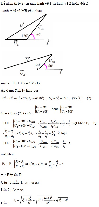
Cho mạch điện như hình vẽ, đặt vào hai đầu mạch điện áp uAB = 30cosωt (V) với ω không
Cho mạch điện như hình vẽ, đặt vào hai đầu mạch điện áp uAB = 30
cosωt (V) với ω không đổi. Điện áp tức thời hai đầu đoạn mạch MB lệch pha π/3 so với dòng điện trong mạch. Khi giá trị biến trở R = R1 thì công suất tiêu thụ trên biến trở là P và điện áp hiệu dụng hai đầu đoạn mạch MB là U1. Khi giá trị biến trở R = R2 (R2 < R1 ) thì công suất tiêu thụ trên biến trở vẫn là P và điện áp hiệu dụng hai đầu đoạn mạch MB là U2. Biết rằng U1 + U2 = 90V. Tỷ số giữa R1 và R2 là
![]()
Đáp án đúng là: D
Quảng cáo
Đáp án cần chọn là: D
>> 2K9 Chú ý! Lộ Trình Sun 2027 - 1 lộ trình ôn đa kỳ thi (TN THPT, ĐGNL (Hà Nội/ Hồ Chí Minh), ĐGNL Sư Phạm, ĐGTD, ĐGNL Bộ Công an, ĐGNL Bộ Quốc phòngTD - Click xem ngay) tại Tuyensinh247.com. Cập nhật bám sát bộ SGK mới, Thầy Cô giáo giỏi, 3 bước chi tiết: Nền tảng lớp 12; Luyện thi chuyên sâu; Luyện đề đủ dạng đáp ứng mọi kì thi.
![]() |
![]() |
![]() |
![]() |
![]() |
![]() |
![]() |
![]() |
Hỗ trợ - Hướng dẫn
-
024.7300.7989
-
1800.6947
(Thời gian hỗ trợ từ 7h đến 22h)
Email: lienhe@tuyensinh247.com













