Hai nguồn sóng kết hợp trên mặt nước S1, S2 dao động với phương trình u1 = asinωt, u2 = acosωt.
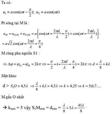
Hai nguồn sóng kết hợp trên mặt nước S1, S2 dao động với phương trình u1 = asinωt, u2 = acosωt. Biết O là trung điểm S1S2 và S1S2 = 9λ. Điểm M trên trung trực của S1S2 gần O nhất dao động cùng pha với S1 cách S1 bao nhiêu?
Đáp án đúng là: C
Quảng cáo
Đáp án cần chọn là: C
>> 2K9 Chú ý! Lộ Trình Sun 2027 - 1 lộ trình ôn đa kỳ thi (TN THPT, ĐGNL (Hà Nội/ Hồ Chí Minh), ĐGNL Sư Phạm, ĐGTD, ĐGNL Bộ Công an, ĐGNL Bộ Quốc phòngTD - Click xem ngay) tại Tuyensinh247.com. Cập nhật bám sát bộ SGK mới, Thầy Cô giáo giỏi, 3 bước chi tiết: Nền tảng lớp 12; Luyện thi chuyên sâu; Luyện đề đủ dạng đáp ứng mọi kì thi.
![]() |
![]() |
![]() |
![]() |
![]() |
![]() |
![]() |
![]() |
Hỗ trợ - Hướng dẫn
-
024.7300.7989
-
1800.6947
(Thời gian hỗ trợ từ 7h đến 22h)
Email: lienhe@tuyensinh247.com














