Tiến hành thí nghiệm với con lắc lò xo treo thẳng đứng: Lần 1: Cung cấp cho vật nặng vận
Tiến hành thí nghiệm với con lắc lò xo treo thẳng đứng:
Lần 1: Cung cấp cho vật nặng vận tốc v0 từ vị trí cân bằng thì vật dao động với biên độ A1.
Lần 2: Đưa vật đến vị trí cách vị trí cân bằng đoạn x0 rồi buông nhẹ. Lần này vật dao động với biên độ A2 .
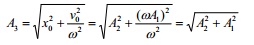
Lần 3: Đưa vật đến vị trí cách vị trí cân bằng đoạn x0 rồi cung cấp cho vật nặng vận tốc v0 . Lần này vật dao động với biên độ bằng
Đáp án đúng là: D
Quảng cáo
Đáp án cần chọn là: D
>> 2K9 Chú ý! Lộ Trình Sun 2027 - 1 lộ trình ôn đa kỳ thi (TN THPT, ĐGNL (Hà Nội/ Hồ Chí Minh), ĐGNL Sư Phạm, ĐGTD, ĐGNL Bộ Công an, ĐGNL Bộ Quốc phòngTD - Click xem ngay) tại Tuyensinh247.com. Cập nhật bám sát bộ SGK mới, Thầy Cô giáo giỏi, 3 bước chi tiết: Nền tảng lớp 12; Luyện thi chuyên sâu; Luyện đề đủ dạng đáp ứng mọi kì thi.
![]() |
![]() |
![]() |
![]() |
![]() |
![]() |
![]() |
![]() |
Hỗ trợ - Hướng dẫn
-
024.7300.7989
-
1800.6947
(Thời gian hỗ trợ từ 7h đến 22h)
Email: lienhe@tuyensinh247.com












