Cho mạch điện như hình vẽ. C là tụ xoay còn L là cuộn dây thuần cảm. Điện áp giữa hai đầu
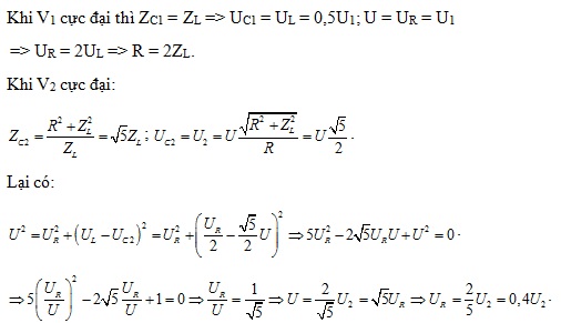
Cho mạch điện như hình vẽ. C là tụ xoay còn L là cuộn dây thuần cảm. Điện áp giữa hai đầu đoạn mạch có giá trị hiệu dụng và tần số không đổi, V1 và V2 là các vôn kế lí tưởng. Điều chỉnh giá trị của C để số chỉ của V1 cực đại là U1, khi đó số chỉ của V2 là 0,5U1. Khi số chỉ của V2 cực đại là U2, thì số chỉ củaV1 lúc đó là

Đáp án đúng là: C
Quảng cáo
Đáp án cần chọn là: C
>> 2K9 Chú ý! Lộ Trình Sun 2027 - 1 lộ trình ôn đa kỳ thi (TN THPT, ĐGNL (Hà Nội/ Hồ Chí Minh), ĐGNL Sư Phạm, ĐGTD, ĐGNL Bộ Công an, ĐGNL Bộ Quốc phòngTD - Click xem ngay) tại Tuyensinh247.com. Cập nhật bám sát bộ SGK mới, Thầy Cô giáo giỏi, 3 bước chi tiết: Nền tảng lớp 12; Luyện thi chuyên sâu; Luyện đề đủ dạng đáp ứng mọi kì thi.
![]() |
![]() |
![]() |
![]() |
![]() |
![]() |
![]() |
![]() |
Hỗ trợ - Hướng dẫn
-
024.7300.7989
-
1800.6947
(Thời gian hỗ trợ từ 7h đến 22h)
Email: lienhe@tuyensinh247.com













