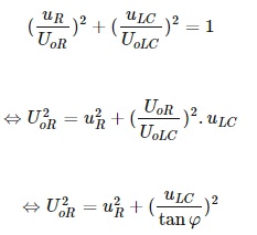
Đoạn mạch xoay chiều với điện áp hai đầu đoạn mạch ổn định, có RLC (L thuần cảm) mắc
Đoạn mạch xoay chiều với điện áp hai đầu đoạn mạch ổn định, có RLC (L thuần cảm) mắc nối tiếp. Biết điện áp hai đầu đoạn mạch lệch pha là
so với cường độ dòng điện qua mạch. Ở thời điểm t, điện áp tức thời ở hai đầu đoạn mạch chứa LC là uLC và điện áp tức thời hai đầu điện trở R là uR. Biểu thức điện áp cực đại hai đầu điện trở R là
Đáp án đúng là: D
Quảng cáo
Đáp án cần chọn là: D
>> 2K9 Chú ý! Lộ Trình Sun 2027 - 1 lộ trình ôn đa kỳ thi (TN THPT, ĐGNL (Hà Nội/ Hồ Chí Minh), ĐGNL Sư Phạm, ĐGTD, ĐGNL Bộ Công an, ĐGNL Bộ Quốc phòngTD - Click xem ngay) tại Tuyensinh247.com. Cập nhật bám sát bộ SGK mới, Thầy Cô giáo giỏi, 3 bước chi tiết: Nền tảng lớp 12; Luyện thi chuyên sâu; Luyện đề đủ dạng đáp ứng mọi kì thi.
![]() |
![]() |
![]() |
![]() |
![]() |
![]() |
![]() |
![]() |
Hỗ trợ - Hướng dẫn
-
024.7300.7989
-
1800.6947
(Thời gian hỗ trợ từ 7h đến 22h)
Email: lienhe@tuyensinh247.com













