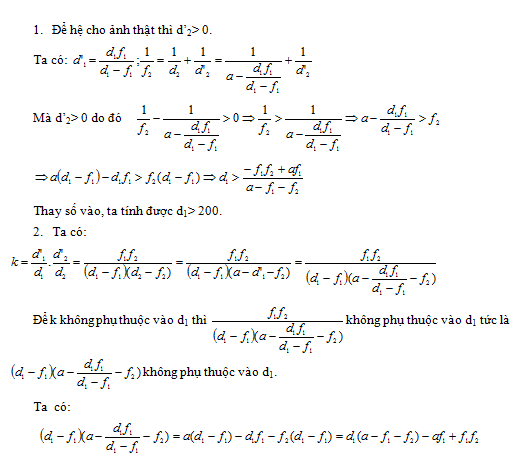
Cho hai thấu kính hội tụ O1 và O2 có tiêu cự lần lượt là f1 = 10cm và f2 = 15cm đặt đồng
Cho hai thấu kính hội tụ O1 và O2 có tiêu cự lần lượt là f1 = 10cm và f2 = 15cm đặt đồng trục cách nhau một khoảng a = 20cm.
Để hệ cho ảnh thật thì vật phải đặt trong khoảng nào? Thay đổi khoảng cách a giữa hai thấu kính. Tìm điều kiện khoảng cách a giữa hai thấu kính để độ phóng đại của hệ không phụ thuộc vào vị trí đặt vật.
Quảng cáo
>> 2K9 Chú ý! Lộ Trình Sun 2027 - 1 lộ trình ôn đa kỳ thi (TN THPT, ĐGNL (Hà Nội/ Hồ Chí Minh), ĐGNL Sư Phạm, ĐGTD, ĐGNL Bộ Công an, ĐGNL Bộ Quốc phòngTD - Click xem ngay) tại Tuyensinh247.com. Cập nhật bám sát bộ SGK mới, Thầy Cô giáo giỏi, 3 bước chi tiết: Nền tảng lớp 12; Luyện thi chuyên sâu; Luyện đề đủ dạng đáp ứng mọi kì thi.
![]() |
![]() |
![]() |
![]() |
![]() |
![]() |
![]() |
![]() |
Hỗ trợ - Hướng dẫn
-
024.7300.7989
-
1800.6947
(Thời gian hỗ trợ từ 7h đến 22h)
Email: lienhe@tuyensinh247.com












