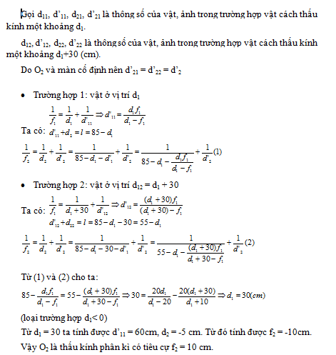
Đặt một vật nhỏ AB vuông góc với trục chính và trước một thấu kính O1 có tiêu cự f = 20
Đặt một vật nhỏ AB vuông góc với trục chính và trước một thấu kính O1 có tiêu cự f = 20 cm. Sau O1 đặt thấu kính O2 đồng trục với O1 và một màn E vuông góc với trục chính. Cho AB cách O2 và màn E các khoảng cách 85cm và 95cm. Khi di chuyển O1 người ta thấy có hai vị trí của O1 cách nhau 30cm đều cho ảnh rõ nét của vật AB trên màn.
Hãy xác định tiêu cự của thấu kính O2.
Quảng cáo
>> 2K9 Chú ý! Lộ Trình Sun 2027 - 1 lộ trình ôn đa kỳ thi (TN THPT, ĐGNL (Hà Nội/ Hồ Chí Minh), ĐGNL Sư Phạm, ĐGTD, ĐGNL Bộ Công an, ĐGNL Bộ Quốc phòngTD - Click xem ngay) tại Tuyensinh247.com. Cập nhật bám sát bộ SGK mới, Thầy Cô giáo giỏi, 3 bước chi tiết: Nền tảng lớp 12; Luyện thi chuyên sâu; Luyện đề đủ dạng đáp ứng mọi kì thi.
![]() |
![]() |
![]() |
![]() |
![]() |
![]() |
![]() |
![]() |
Hỗ trợ - Hướng dẫn
-
024.7300.7989
-
1800.6947
(Thời gian hỗ trợ từ 7h đến 22h)
Email: lienhe@tuyensinh247.com












