Một mạch dao động LC lí tưởng gồm cuộn cảm thuần có độ tự cảm 0,1 H và tụ điện có
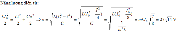
Một mạch dao động LC lí tưởng gồm cuộn cảm thuần có độ tự cảm 0,1 H và tụ điện có điện dung C đang có dao động điện từ tự do. Cường độ dòng điện trong mạch có biểu thức i = 0,5cos2000t (i tính bằng A, t tính bằng s). Ở thời điểm mà cường độ dòng điện trong mạch bằng một nửa cường độ hiệu dụng thì hiệu điện thế giữa hai bản tụ có độ lớn bằng
Đáp án đúng là: A
Quảng cáo
Đáp án cần chọn là: A
>> 2K9 Chú ý! Lộ Trình Sun 2027 - 1 lộ trình ôn đa kỳ thi (TN THPT, ĐGNL (Hà Nội/ Hồ Chí Minh), ĐGNL Sư Phạm, ĐGTD, ĐGNL Bộ Công an, ĐGNL Bộ Quốc phòngTD - Click xem ngay) tại Tuyensinh247.com. Cập nhật bám sát bộ SGK mới, Thầy Cô giáo giỏi, 3 bước chi tiết: Nền tảng lớp 12; Luyện thi chuyên sâu; Luyện đề đủ dạng đáp ứng mọi kì thi.
![]() |
![]() |
![]() |
![]() |
![]() |
![]() |
![]() |
![]() |
Hỗ trợ - Hướng dẫn
-
024.7300.7989
-
1800.6947
(Thời gian hỗ trợ từ 7h đến 22h)
Email: lienhe@tuyensinh247.com












