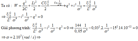
Một mạch dao động LC lí tưởng gồm cuộn cảm thuần có độ tự cảm 50 mH và tụ điện có
Một mạch dao động LC lí tưởng gồm cuộn cảm thuần có độ tự cảm 50 mH và tụ điện có điện dung C đang có dao động điện từ tự do. Điện áp cực đại giữa hai bản tụ điện là 12 V. Ở thời điểm mà cường độ dòng điện trong mạch bằng
A thì điện tích trên tụ có độ lớn bằng
µC. Tần số góc của mạch là
Đáp án đúng là: A
Quảng cáo
Đáp án cần chọn là: A
>> 2K9 Chú ý! Lộ Trình Sun 2027 - 1 lộ trình ôn đa kỳ thi (TN THPT, ĐGNL (Hà Nội/ Hồ Chí Minh), ĐGNL Sư Phạm, ĐGTD, ĐGNL Bộ Công an, ĐGNL Bộ Quốc phòngTD - Click xem ngay) tại Tuyensinh247.com. Cập nhật bám sát bộ SGK mới, Thầy Cô giáo giỏi, 3 bước chi tiết: Nền tảng lớp 12; Luyện thi chuyên sâu; Luyện đề đủ dạng đáp ứng mọi kì thi.
![]() |
![]() |
![]() |
![]() |
![]() |
![]() |
![]() |
![]() |
Hỗ trợ - Hướng dẫn
-
024.7300.7989
-
1800.6947
(Thời gian hỗ trợ từ 7h đến 22h)
Email: lienhe@tuyensinh247.com












