Hai điểm sáng M và N dao động điều hòa cùng biên độ trên trục Ox, tại thời điểm bản đầu
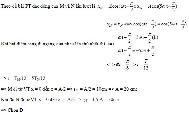
Hai điểm sáng M và N dao động điều hòa cùng biên độ trên trục Ox, tại thời điểm bản đầu hai chất điểm cùng đi qua VTCB theo chiều dương. Chu kì dao động của M gấp 5 lần chu kì dao động của N. Khi hai chất điểm đi ngang qua nhau lần thứ nhất thì M đã đi được 10cm. Quãng đường đi được trong khoảng thời gian đó của N bằng
Đáp án đúng là: D
Quảng cáo
Đáp án cần chọn là: D
>> 2K9 Chú ý! Lộ Trình Sun 2027 - 1 lộ trình ôn đa kỳ thi (TN THPT, ĐGNL (Hà Nội/ Hồ Chí Minh), ĐGNL Sư Phạm, ĐGTD, ĐGNL Bộ Công an, ĐGNL Bộ Quốc phòngTD - Click xem ngay) tại Tuyensinh247.com. Cập nhật bám sát bộ SGK mới, Thầy Cô giáo giỏi, 3 bước chi tiết: Nền tảng lớp 12; Luyện thi chuyên sâu; Luyện đề đủ dạng đáp ứng mọi kì thi.
![]() |
![]() |
![]() |
![]() |
![]() |
![]() |
![]() |
![]() |
Hỗ trợ - Hướng dẫn
-
024.7300.7989
-
1800.6947
(Thời gian hỗ trợ từ 7h đến 22h)
Email: lienhe@tuyensinh247.com












