Đặt một điện áp xoay chiều vào hai đầu đoạn mạch điện gồm điện trở thuần R mắc nối
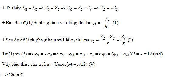
Đặt một điện áp xoay chiều vào hai đầu đoạn mạch điện gồm điện trở thuần R mắc nối tiếp với tụ C thì biểu thức dòng điện có dạng i1 = I0cos(ωt + π/6) (A). Mắc nối tiếp vào mạch điện cuộn thuần cảm L rồi mắc vào điện áp xoay chiều trên thì biểu thức dòng điện có dạng i2 = I0cos(ωt – π/3) (A). Biểu thức điện áp ở hai đầu đoạn mạch có dạng
Đáp án đúng là: C
Quảng cáo
Đáp án cần chọn là: C
>> 2K9 Chú ý! Lộ Trình Sun 2027 - 1 lộ trình ôn đa kỳ thi (TN THPT, ĐGNL (Hà Nội/ Hồ Chí Minh), ĐGNL Sư Phạm, ĐGTD, ĐGNL Bộ Công an, ĐGNL Bộ Quốc phòngTD - Click xem ngay) tại Tuyensinh247.com. Cập nhật bám sát bộ SGK mới, Thầy Cô giáo giỏi, 3 bước chi tiết: Nền tảng lớp 12; Luyện thi chuyên sâu; Luyện đề đủ dạng đáp ứng mọi kì thi.
![]() |
![]() |
![]() |
![]() |
![]() |
![]() |
![]() |
![]() |
Hỗ trợ - Hướng dẫn
-
024.7300.7989
-
1800.6947
(Thời gian hỗ trợ từ 7h đến 22h)
Email: lienhe@tuyensinh247.com












