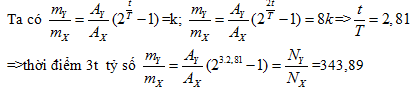
Một hạt nhân X phóng ra tia phóng xạ và biến thành hạt nhân Y bền. Biết chu kì bán rã của
Một hạt nhân X phóng ra tia phóng xạ và biến thành hạt nhân Y bền. Biết chu kì bán rã của chất X là T. Khảo sát một mẫu chất thấy:
Ở thời điểm t =0, mẫu chất là một lượng X nguyên chất.
Ở thời điểm t, tỉ số khối lượng của Y và X trong mẫu là k.
Ở thời điểm 2t, tỉ số khối lượng của Y và X trong mẫu là 8k.
Ở thời điểm 3t, tỉ số số hạt của Y và X trong mẫu là
Đáp án đúng là: D
Quảng cáo
Đáp án cần chọn là: D
>> 2K9 Chú ý! Lộ Trình Sun 2027 - 1 lộ trình ôn đa kỳ thi (TN THPT, ĐGNL (Hà Nội/ Hồ Chí Minh), ĐGNL Sư Phạm, ĐGTD, ĐGNL Bộ Công an, ĐGNL Bộ Quốc phòngTD - Click xem ngay) tại Tuyensinh247.com. Cập nhật bám sát bộ SGK mới, Thầy Cô giáo giỏi, 3 bước chi tiết: Nền tảng lớp 12; Luyện thi chuyên sâu; Luyện đề đủ dạng đáp ứng mọi kì thi.
![]() |
![]() |
![]() |
![]() |
![]() |
![]() |
![]() |
![]() |
Hỗ trợ - Hướng dẫn
-
024.7300.7989
-
1800.6947
(Thời gian hỗ trợ từ 7h đến 22h)
Email: lienhe@tuyensinh247.com












