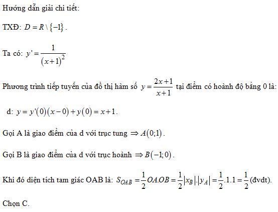
Đáp án đúng là: C
Quảng cáo
Gọi \(M\) là điểm thuộc đồ thị hàm số và có hoành độ bằng \(0 \Rightarrow M\left( {0;\;1} \right).\)
Khi đó suy ra phương trình tiếp tuyến của đồ thị hàm số \((C)\) tại \(M).\)
Xác định tọa độ giao điểm \(A\) và \(B\) của \(\Delta\) và các trục tọa độ.
Khi đó tam giác được tạo thành là tam giác \(OAB\) vuông tại \(O.\)
\( \Rightarrow {S_{OAB}} = \frac{1}{2}OA.OB.\)
Đáp án cần chọn là: C
>> 2K9 Chú ý! Lộ Trình Sun 2027 - 1 lộ trình ôn đa kỳ thi (TN THPT, ĐGNL (Hà Nội/ Hồ Chí Minh), ĐGNL Sư Phạm, ĐGTD, ĐGNL Bộ Công an, ĐGNL Bộ Quốc phòngTD - Click xem ngay) tại Tuyensinh247.com. Cập nhật bám sát bộ SGK mới, Thầy Cô giáo giỏi, 3 bước chi tiết: Nền tảng lớp 12; Luyện thi chuyên sâu; Luyện đề đủ dạng đáp ứng mọi kì thi.
![]() |
![]() |
![]() |
![]() |
![]() |
![]() |
![]() |
![]() |
Hỗ trợ - Hướng dẫn
-
024.7300.7989
-
1800.6947
(Thời gian hỗ trợ từ 7h đến 22h)
Email: lienhe@tuyensinh247.com












