Một vật AB có dạng đoạn thẳng nhỏ cao 2 cm đặt song song với một màn hứng ảnh cố
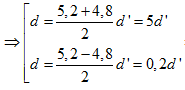
Một vật AB có dạng đoạn thẳng nhỏ cao 2 cm đặt song song với một màn hứng ảnh cố định. Đặt một thấu kính có tiêu cự f vào khoảng giữa vật và màn sao cho trục chính của thấu kính đi qua A và vuông góc với màn ảnh. Khi ảnh của vật AB hiện rõ nét trên màn thì khoảng cách giữa vật và màn đo được gấp 7,2 lần tiêu cự. Chiều cao ảnh của AB trên màn bằng
Đáp án đúng là: A
Quảng cáo
Công thức thấu kính: \({1 \over d} + {1 \over {d'}} = {1 \over f}\)
Đáp án cần chọn là: A
>> 2K8 Chú ý! Lộ Trình Sun 2026 - 3IN1 - 1 lộ trình ôn 3 kì thi (Luyện thi 26+ TN THPT, 90+ ĐGNL HN, 900+ ĐGNL HCM, 70+ ĐGTD - Click xem ngay) tại Tuyensinh247.com.Đầy đủ theo 3 đầu sách, Thầy Cô giáo giỏi, luyện thi theo 3 giai đoạn: Nền tảng lớp 12, Luyện thi chuyên sâu, Luyện đề đủ dạng đáp ứng mọi kì thi.
![]() |
![]() |
![]() |
![]() |
![]() |
![]() |
![]() |
![]() |
Hỗ trợ - Hướng dẫn
-
024.7300.7989
-
1800.6947
(Thời gian hỗ trợ từ 7h đến 22h)
Email: lienhe@tuyensinh247.com












