Cho m gam Mg vào dung dịch chứa 0,1 mol AgNO3 và 0,25 mol Cu(NO3)2, sau một thời gian thu được 19,44 gam
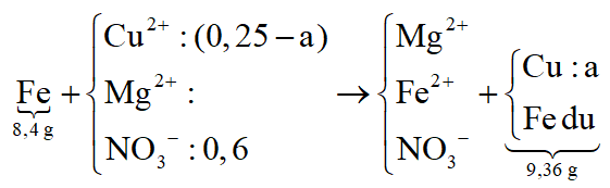
Cho m gam Mg vào dung dịch chứa 0,1 mol AgNO3 và 0,25 mol Cu(NO3)2, sau một thời gian thu được 19,44 gam kết tủa và dung dịch X chứa 2 muối. Tách lấy kết tủa, thêm tiếp 8,4 gam bột sắt vào dung dịch X, sau khi các phản ứng hoàn toàn thu được 9,36 gam kết tủa.Giá trị của m là
Đáp án đúng là: B
Quảng cáo
Tiến trình (1)

Tiến trình (2)

Bảo toàn khối lượng cho tiến trình (2).
mFe + mCu2+ = mFe2+ + mrắn sau
=> a = ?
Bảo toàn khối lượng cho tiến trình (1)
mMg + mAg+ + mCu2+ = mCu2+ + mMg2+ + mrắn
=> m = ? (g)
Đáp án cần chọn là: B
>> 2K9 Chú ý! Lộ Trình Sun 2027 - 1 lộ trình ôn đa kỳ thi (TN THPT, ĐGNL (Hà Nội/ Hồ Chí Minh), ĐGNL Sư Phạm, ĐGTD, ĐGNL Bộ Công an, ĐGNL Bộ Quốc phòngTD - Click xem ngay) tại Tuyensinh247.com. Cập nhật bám sát bộ SGK mới, Thầy Cô giáo giỏi, 3 bước chi tiết: Nền tảng lớp 12; Luyện thi chuyên sâu; Luyện đề đủ dạng đáp ứng mọi kì thi.
![]() |
![]() |
![]() |
![]() |
![]() |
![]() |
![]() |
![]() |
Hỗ trợ - Hướng dẫn
-
024.7300.7989
-
1800.6947
(Thời gian hỗ trợ từ 7h đến 22h)
Email: lienhe@tuyensinh247.com












