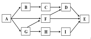
Cho lưới thức ăn như hình bên, các loài sinh vật lần lượt được kí hiệu là A, B, C, D, E, F,
Cho lưới thức ăn như hình bên, các loài sinh vật lần lượt được kí hiệu là A, B, C, D, E, F, G, H, I. Biết A là sinh vật sản xuất, E là sinh vật tiêu thụ. Có bao nhiêu phát biểu đúng trong các phát biểu sau:

Trả lời cho các câu 1 dưới đây:
Phát biểu nào sau đây sai về lưới thức ăn trên
Đáp án đúng là: C
Đáp án cần chọn là: C
Quảng cáo
>> 2K8 Chú ý! Lộ Trình Sun 2026 - 3IN1 - 1 lộ trình ôn 3 kì thi (Luyện thi 26+ TN THPT, 90+ ĐGNL HN, 900+ ĐGNL HCM, 70+ ĐGTD - Click xem ngay) tại Tuyensinh247.com.Đầy đủ theo 3 đầu sách, Thầy Cô giáo giỏi, luyện thi theo 3 giai đoạn: Nền tảng lớp 12, Luyện thi chuyên sâu, Luyện đề đủ dạng đáp ứng mọi kì thi.
![]() |
![]() |
![]() |
![]() |
![]() |
![]() |
![]() |
![]() |
Hỗ trợ - Hướng dẫn
-
024.7300.7989
-
1800.6947
(Thời gian hỗ trợ từ 7h đến 22h)
Email: lienhe@tuyensinh247.com












