Sắp xếp các đa thức sau theo lũy thừa giảm dần của biến rồi thực hiện phép chia:a) \(\left( {
Sắp xếp các đa thức sau theo lũy thừa giảm dần của biến rồi thực hiện phép chia:
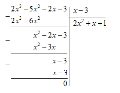
a) \(\left( { - 2x + 2{x^3} - 3 - 5{x^2}} \right):\left( {x - 3} \right)\)
b) \(\left( { - {x^3} + 3x + {x^4} + {x^2}} \right):\left( {{x^2} - x + 3} \right)\)
c) \(\left( {2 + x + 8{x^3} - 2{x^2}} \right):\left( {2x - 1} \right)\)
d) \(\left( {8x - 5 - 3{x^3} - 3{x^2} + {x^4}} \right):\left( {x - 1} \right)\)
Quảng cáo
Sắp xếp các đa thức theo lũy thừa giảm dần
Thực hiện phép chia đa thức một biến đã sắp xếp
>> Học trực tuyến lớp 8 trên Tuyensinh247.com. Đầy đủ khoá học các bộ sách: Kết nối tri thức với cuộc sống; Chân trời sáng tạo; Cánh diều. Cam kết giúp học sinh lớp 8 học tốt, hoàn trả học phí nếu học không hiệu quả. PH/HS tham khảo chi tiết khoá học tại: Link
![]() |
![]() |
![]() |
![]() |
![]() |
![]() |
Hỗ trợ - Hướng dẫn
-
024.7300.7989
-
1800.6947
(Thời gian hỗ trợ từ 7h đến 22h)
Email: lienhe@tuyensinh247.com














