Xác định hệ số \(a\) để đa thức \(\left( {{x^3} + 3{x^2} + 5x + a} \right)\) chia hết cho \(\left( {x +
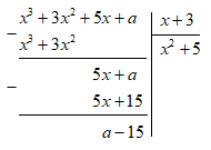
Xác định hệ số \(a\) để đa thức \(\left( {{x^3} + 3{x^2} + 5x + a} \right)\) chia hết cho \(\left( {x + 3} \right)\)
Quảng cáo
Thực hiện phép chia đa thức một biến đã sắp xếp.
Phép chia hết có dư bằng 0. Từ đó, ta giải tìm \(a.\)
>> Học trực tuyến lớp 8 trên Tuyensinh247.com. Đầy đủ khoá học các bộ sách: Kết nối tri thức với cuộc sống; Chân trời sáng tạo; Cánh diều. Cam kết giúp học sinh lớp 8 học tốt, hoàn trả học phí nếu học không hiệu quả. PH/HS tham khảo chi tiết khoá học tại: Link
![]() |
![]() |
![]() |
![]() |
![]() |
![]() |
Hỗ trợ - Hướng dẫn
-
024.7300.7989
-
1800.6947
(Thời gian hỗ trợ từ 7h đến 22h)
Email: lienhe@tuyensinh247.com











