Xác định hệ số \(a\) để đa thức \(\left( {{x^4} + 6{x^3} + 7{x^2} - 6x + a} \right)\) chia hết cho
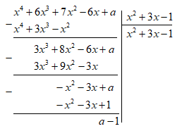
Xác định hệ số \(a\) để đa thức \(\left( {{x^4} + 6{x^3} + 7{x^2} - 6x + a} \right)\) chia hết cho \(\left( {{x^2} + 3x - 1} \right)\).
Đáp án đúng là: A
Quảng cáo
Thực hiện phép chia đa thức một biến đã sắp xếp.
Phép chia hết có dư bằng 0. Từ đó, ta giải tìm \(a.\)
Đáp án cần chọn là: A
>> Học trực tuyến lớp 8 trên Tuyensinh247.com. Đầy đủ khoá học các bộ sách: Kết nối tri thức với cuộc sống; Chân trời sáng tạo; Cánh diều. Cam kết giúp học sinh lớp 8 học tốt, hoàn trả học phí nếu học không hiệu quả. PH/HS tham khảo chi tiết khoá học tại: Link
![]() |
![]() |
![]() |
![]() |
![]() |
![]() |
Hỗ trợ - Hướng dẫn
-
024.7300.7989
-
1800.6947
(Thời gian hỗ trợ từ 7h đến 22h)
Email: lienhe@tuyensinh247.com











