Thực hiện các phép chia sau:a) \(f\left( x \right) = {x^4} - 2{x^3} - 3{x^2} + 7x - 2\) cho \(x + 3\)b) \({x^5}
Thực hiện các phép chia sau:
a) \(f\left( x \right) = {x^4} - 2{x^3} - 3{x^2} + 7x - 2\) cho \(x + 3\)
b) \({x^5} + 6{x^4} + 3{x^2} - 2x - 10\) cho \(x + 8\)
c) \({x^4} + 12{x^2} - 25\) cho \(2x + 5\)
Quảng cáo
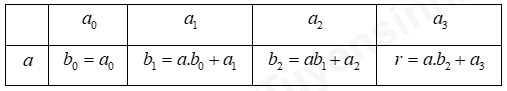
Sơ đồ Horno
Nếu đa thức bị chia là \({a_0}{x^3} + {a_1}{x^2} + {a_2}x + {a_3}\), đa thức chia là \(\left( {x - a} \right)\) được thương là \({b_0}{x^2} + {b_1}x + {b_2}\) và dư là \(r\), ta có thể xác định thương, dư như sau:

>> Học trực tuyến lớp 8 trên Tuyensinh247.com. Đầy đủ khoá học các bộ sách: Kết nối tri thức với cuộc sống; Chân trời sáng tạo; Cánh diều. Cam kết giúp học sinh lớp 8 học tốt, hoàn trả học phí nếu học không hiệu quả. PH/HS tham khảo chi tiết khoá học tại: Link
![]() |
![]() |
![]() |
![]() |
![]() |
![]() |
Hỗ trợ - Hướng dẫn
-
024.7300.7989
-
1800.6947
(Thời gian hỗ trợ từ 7h đến 22h)
Email: lienhe@tuyensinh247.com













