Phân tích đa thức thành nhân tử:a) \({x^3} - 5{x^2} - 2x + 24\)b) \(2{x^4} - {x^3} - 17{x^2} + x + 15\)c)
Phân tích đa thức thành nhân tử:
a) \({x^3} - 5{x^2} - 2x + 24\)
b) \(2{x^4} - {x^3} - 17{x^2} + x + 15\)
c) \(3{x^4} + 5{x^3} - 5{x^2} - 5x + 2\)
Quảng cáo
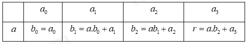
Sơ đồ Horno
Nếu đa thức bị chia là \({a_0}{x^3} + {a_1}{x^2} + {a_2}x + {a_3}\), đa thức chia là \(\left( {x - a} \right)\) được thương là \({b_0}{x^2} + {b_1}x + {b_2}\) và dư là \(r\), ta có thể xác định thương, dư như sau:

>> Học trực tuyến lớp 8 trên Tuyensinh247.com. Đầy đủ khoá học các bộ sách: Kết nối tri thức với cuộc sống; Chân trời sáng tạo; Cánh diều. Cam kết giúp học sinh lớp 8 học tốt, hoàn trả học phí nếu học không hiệu quả. PH/HS tham khảo chi tiết khoá học tại: Link
![]() |
![]() |
![]() |
![]() |
![]() |
![]() |
Hỗ trợ - Hướng dẫn
-
024.7300.7989
-
1800.6947
(Thời gian hỗ trợ từ 7h đến 22h)
Email: lienhe@tuyensinh247.com












