Giải các phương trình sau:a) \(2{x^3} - {x^2} - 5x - 2 = 0\)b) \(3{x^4} + 5{x^3} - {x^2} - 5x - 2 = 0\)c)
Giải các phương trình sau:
a) \(2{x^3} - {x^2} - 5x - 2 = 0\)
b) \(3{x^4} + 5{x^3} - {x^2} - 5x - 2 = 0\)
c) \(2{x^4} - 5{x^3} + 6{x^2} - 5x + 2 = 0\)
Quảng cáo
Sơ đồ Horno
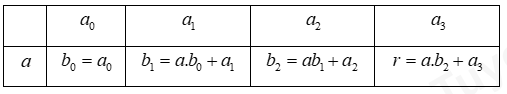
Nếu đa thức bị chia là \({a_0}{x^3} + {a_1}{x^2} + {a_2}x + {a_3}\), đa thức chia là \(\left( {x - a} \right)\) được thương là \({b_0}{x^2} + {b_1}x + {b_2}\) và dư là \(r\), ta có thể xác định thương, dư như sau:

>> Học trực tuyến lớp 8 trên Tuyensinh247.com. Đầy đủ khoá học các bộ sách: Kết nối tri thức với cuộc sống; Chân trời sáng tạo; Cánh diều. Cam kết giúp học sinh lớp 8 học tốt, hoàn trả học phí nếu học không hiệu quả. PH/HS tham khảo chi tiết khoá học tại: Link
![]() |
![]() |
![]() |
![]() |
![]() |
![]() |
Hỗ trợ - Hướng dẫn
-
024.7300.7989
-
1800.6947
(Thời gian hỗ trợ từ 7h đến 22h)
Email: lienhe@tuyensinh247.com














