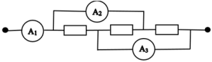
Cho mạch điện như hình vẽ. Ba điện trở đều có giá trị \(10\Omega \) và số chỉ của ampe kế
Cho mạch điện như hình vẽ. Ba điện trở đều có giá trị \(10\Omega \) và số chỉ của ampe kế \({A_1}\) là 6,0A. Bỏ qua điện trở của dây nối và các ampe kế. Số chỉ các ampe kế \({A_2},{A_3}\) lần lượt là

Đáp án đúng là: D
Quảng cáo
Định luật Ôm: \(I = \dfrac{U}{R}\)
Điện trở tương đương trong đoạn mạch nối tiếp, song song.
Đáp án cần chọn là: D
>> 2K8 Chú ý! Lộ Trình Sun 2026 - 3IN1 - 1 lộ trình ôn 3 kì thi (Luyện thi 26+ TN THPT, 90+ ĐGNL HN, 900+ ĐGNL HCM, 70+ ĐGTD - Click xem ngay) tại Tuyensinh247.com.Đầy đủ theo 3 đầu sách, Thầy Cô giáo giỏi, luyện thi theo 3 giai đoạn: Nền tảng lớp 12, Luyện thi chuyên sâu, Luyện đề đủ dạng đáp ứng mọi kì thi.
![]() |
![]() |
![]() |
![]() |
![]() |
![]() |
![]() |
![]() |
Hỗ trợ - Hướng dẫn
-
024.7300.7989
-
1800.6947
(Thời gian hỗ trợ từ 7h đến 22h)
Email: lienhe@tuyensinh247.com












