Cho ba đa thức \(P\left( x \right) = {x^6} - 2{x^5} + 3{x^4} - 5x + 1\), \(Q\left( x \right) = {x^5} - 2{x^2} +
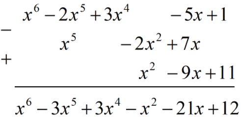
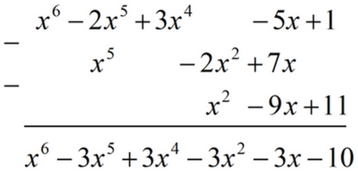
Cho ba đa thức \(P\left( x \right) = {x^6} - 2{x^5} + 3{x^4} - 5x + 1\), \(Q\left( x \right) = {x^5} - 2{x^2} + 7x\), \(R\left( x \right) = {x^2} - 9x + 11\). Tính:
a) \(P\left( x \right) - Q\left( x \right) + R\left( x \right)\).
b) \(P\left( x \right) - Q\left( x \right) - R\left( x \right)\).
Quảng cáo
Tính theo cột dọc.
>> Học trực tuyến lớp 7 trên Tuyensinh247.com. Đầy đủ khoá học các bộ sách: Kết nối tri thức với cuộc sống; Chân trời sáng tạo; Cánh diều. Cam kết giúp học sinh lớp 7 học tốt, hoàn trả học phí nếu học không hiệu quả. PH/HS tham khảo chi tiết khoá học tại: Link
![]() |
![]() |
![]() |
![]() |
![]() |
![]() |
Hỗ trợ - Hướng dẫn
-
024.7300.7989
-
1800.6947
(Thời gian hỗ trợ từ 7h đến 22h)
Email: lienhe@tuyensinh247.com












