Cho hàm số f(x) có đạo hàm \(f'\left( x \right) = \left( {{x^2} - 1} \right)\left( {x - 4} \right)\) với
Cho hàm số f(x) có đạo hàm \(f'\left( x \right) = \left( {{x^2} - 1} \right)\left( {x - 4} \right)\) với mọi \(x \in \mathbb{R}\). Hàm số \(g\left( x \right) = f\left( { - x} \right)\) có bao nhiêu điểm cực đại?
Đáp án đúng là: C
Quảng cáo
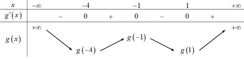
Tính g’(x).
Giải phương trình g’(x) = 0.
Lập BBT hàm số g(x).
Đáp án cần chọn là: C
>> 2K8 Chú ý! Lộ Trình Sun 2026 - 3IN1 - 1 lộ trình ôn 3 kì thi (Luyện thi 26+ TN THPT, 90+ ĐGNL HN, 900+ ĐGNL HCM, 70+ ĐGTD - Click xem ngay) tại Tuyensinh247.com.Đầy đủ theo 3 đầu sách, Thầy Cô giáo giỏi, luyện thi theo 3 giai đoạn: Nền tảng lớp 12, Luyện thi chuyên sâu, Luyện đề đủ dạng đáp ứng mọi kì thi.
![]() |
![]() |
![]() |
![]() |
![]() |
![]() |
![]() |
![]() |
Hỗ trợ - Hướng dẫn
-
024.7300.7989
-
1800.6947
(Thời gian hỗ trợ từ 7h đến 22h)
Email: lienhe@tuyensinh247.com













