Thực hiện phép tính \(A:B\) biếta) \(A = 2{x^4} - 13{x^3} + 15{x^2} + 11x - 3\) và \(B = {x^2} - 4x - 3\).b)
Thực hiện phép tính \(A:B\) biết
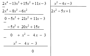
a) \(A = 2{x^4} - 13{x^3} + 15{x^2} + 11x - 3\) và \(B = {x^2} - 4x - 3\).
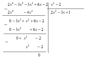
b) \(A = 2{x^4} - 3{x^3} - 3{x^2} + 6x - 2\) và \(B = {x^2} - 2\).
c) \(A = 5{x^3} - 3{x^2} - x + 7\) và \(B = {x^2} + 1\).
d) A = \(3{x^4} - 6x - 5\) và \(B = {x^2} + 3x - 1\)
Quảng cáo
Sắp xếp các đa thức theo bậc giảm dần
Đặt phép chia và chia hai đa thức
>> Học trực tuyến lớp 7 trên Tuyensinh247.com. Đầy đủ khoá học các bộ sách: Kết nối tri thức với cuộc sống; Chân trời sáng tạo; Cánh diều. Cam kết giúp học sinh lớp 7 học tốt, hoàn trả học phí nếu học không hiệu quả. PH/HS tham khảo chi tiết khoá học tại: Link
![]() |
![]() |
![]() |
![]() |
![]() |
![]() |
Hỗ trợ - Hướng dẫn
-
024.7300.7989
-
1800.6947
(Thời gian hỗ trợ từ 7h đến 22h)
Email: lienhe@tuyensinh247.com














