Chia đa thức A cho B sau đó xác định thương và dư trong phép chia.a) \(A = 2{x^4} - 4{x^3} + 6{x^2} +
Chia đa thức A cho B sau đó xác định thương và dư trong phép chia.
a) \(A = 2{x^4} - 4{x^3} + 6{x^2} + 3x;\)\(B = 2x\)
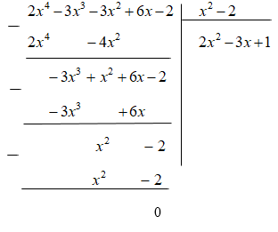
b) \(A = 2{x^4} - 3{x^3} - 3{x^2} + 6x - 2\);\(B = {x^2} - 2\)
Quảng cáo
Sử dụng cách chia đa thức cho đa thức.
>> Học trực tuyến lớp 7 trên Tuyensinh247.com. Đầy đủ khoá học các bộ sách: Kết nối tri thức với cuộc sống; Chân trời sáng tạo; Cánh diều. Cam kết giúp học sinh lớp 7 học tốt, hoàn trả học phí nếu học không hiệu quả. PH/HS tham khảo chi tiết khoá học tại: Link
![]() |
![]() |
![]() |
![]() |
![]() |
![]() |
Hỗ trợ - Hướng dẫn
-
024.7300.7989
-
1800.6947
(Thời gian hỗ trợ từ 7h đến 22h)
Email: lienhe@tuyensinh247.com











