Dao động cơ học
Một vật nhỏ khối lượng m = 160g gắn vào đầu một lò xo đàn hồi có độ cứng k = 100N/m. khối lượng không đáng kể, đầu kia của lò xo được giữ cố định. Tất cả nằm trên một mặt ngang không ma sát. Vật được đưa về vị trí mà tại đó lò xo dãn 5cm và được thả nhẹ nhàng cho dao động. Vận tốc của vật khi vật về tới vị trí lò xo không biến dạng và khi vật về tới vị trí lò xo dãn 3 cm.
Đáp án đúng là: B
Quảng cáo
Đáp án cần chọn là: B
>> 2K9 Chú ý! Lộ Trình Sun 2027 - 1 lộ trình ôn đa kỳ thi (TN THPT, ĐGNL (Hà Nội/ Hồ Chí Minh), ĐGNL Sư Phạm, ĐGTD, ĐGNL Bộ Công an, ĐGNL Bộ Quốc phòngTD - Click xem ngay) tại Tuyensinh247.com. Cập nhật bám sát bộ SGK mới, Thầy Cô giáo giỏi, 3 bước chi tiết: Nền tảng lớp 12; Luyện thi chuyên sâu; Luyện đề đủ dạng đáp ứng mọi kì thi.
![]() |
![]() |
![]() |
![]() |
![]() |
![]() |
![]() |
![]() |
Hỗ trợ - Hướng dẫn
-
024.7300.7989
-
1800.6947
(Thời gian hỗ trợ từ 7h đến 22h)
Email: lienhe@tuyensinh247.com


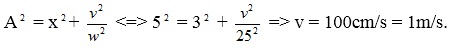
= 25 rad/s.
=> Đáp án B.










