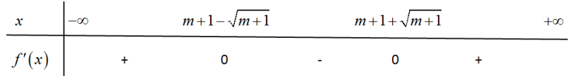
Cho hàm số \(y = \left| {2{x^3} - 3(2m + 2){x^2} + 6\left( {{m^2} + m} \right)x - m} \right|\). Có bao nhiêu giá
Cho hàm số \(y = \left| {2{x^3} - 3(2m + 2){x^2} + 6\left( {{m^2} + m} \right)x - m} \right|\). Có bao nhiêu giá trị nguyên của tham số \(m \in ( - 20;20)\) để hàm số đã cho đồng biến trên khoảng \((0;1)\)?
Đáp án đúng là: C
Quảng cáo
Đáp án cần chọn là: C
>> 2K9 Chú ý! Lộ Trình Sun 2027 - 1 lộ trình ôn đa kỳ thi (TN THPT, ĐGNL (Hà Nội/ Hồ Chí Minh), ĐGNL Sư Phạm, ĐGTD, ĐGNL Bộ Công an, ĐGNL Bộ Quốc phòngTD - Click xem ngay) tại Tuyensinh247.com. Cập nhật bám sát bộ SGK mới, Thầy Cô giáo giỏi, 3 bước chi tiết: Nền tảng lớp 12; Luyện thi chuyên sâu; Luyện đề đủ dạng đáp ứng mọi kì thi.
![]() |
![]() |
![]() |
![]() |
![]() |
![]() |
![]() |
![]() |
Hỗ trợ - Hướng dẫn
-
024.7300.7989
-
1800.6947
(Thời gian hỗ trợ từ 7h đến 22h)
Email: lienhe@tuyensinh247.com













