Dẫn xuất của hiđrocacbon
Dẫn xuất của hiđrocacbon
Trả lời cho các câu 1, 2 dưới đây:
Một hợp chất hữu cơ, mạch hở Y1 (chứa C, H, O) có % khối lượng C và H lần lượt là 37,50% và 4,17%. Biết công thức phân từ của Y1 trùng với công thức đơn giản nhất.
1) Nếu cho Y1 tác dụng với Na dư thu được số mol H2 bằng hai lần số mol Y1; còn nếu Y1 tác dụng với NaHCO3 dư thì số mol CO2 tạo thành bằng ba lần số mol Y1. Xác định công thức cấu tạo của Y1, biết mạch cacbon dài nhất của Y1 chứa 5 nguyên tử cacbon và Y1 có cấu tạo đối xứng.
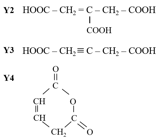
2) Cho sơ đồ phản ứng sau:

Biết rằng Y2, Y3 có cấu tạo mạch hở, mạch cacbon của Y3 không phân nhánh, Y4 có cấu tạo mạch vòng. Xác định công thức cấu tạo của Y2, Y3 và Y4.
Đặt CT Y1: CxHyOz
\(x:y:z = \dfrac{{\% {m_C}}}{{12}}:\dfrac{{\% {m_H}}}{1}:\dfrac{{\% {m_O}}}{{16}}\)
Nhóm chức tác dụng được với Na giải phóng khí H2 ⟶ ancol (-OH), axit cacboxylic (-COOH)
Tác dụng được với NaHCO3 tạo CO2 ⟶ axit cacboxylic (-COOH)
1)Để điều chế 4,6 lít dung dịch rượu etylic có độ rượu là $\mathrm{D}^{\circ}$ cần 4,86 kg gạo (chứa 80% tinh bột). Xác định $\mathrm{D}^{\circ}$ biết hiệu suất của quá trình tạo ra rượu etylic từ tinh bột là 50%. Khối lượng riêng của C2H5OH là 0,8 g/ml.
2) Chia 49,6 gam hổn hợp gồm rượu etylic và một rượu đơn chức Z1 thành hai phần bằng nhau.
- Phần một cho tác dụng với Na dư thu được 6,72 lít khí H2 (đktc).
- Phần hai đun nóng với một axit đơn chức Z2, dư, trong điều kiện thích hợp thu được 15,0 gam hỗn hợp hai este. Biết rằng hiệu suất phản ứng tạo mỗi este đều lớn hơn 27%. Xác định công thức của Z1, Z2 và tính hiệu suất phàn ửng tạo este. Coi hiệu suất phản ứng tạo hai este bằng nhau.
mtinh bột ⟶ mancol ⟶ Vancol nguyên chất ⟶ H%
Quảng cáo
>> Học trực tuyến lớp 9 và Lộ trình UP10 trên Tuyensinh247.com Đầy đủ khoá học các bộ sách: Kết nối tri thức với cuộc sống; Chân trời sáng tạo; Cánh diều. Lộ trình học tập 3 giai đoạn: Học nền tảng lớp 9, Ôn thi vào lớp 10, Luyện Đề. Bứt phá điểm lớp 9, thi vào lớp 10 kết quả cao. Hoàn trả học phí nếu học không hiệu quả. PH/HS tham khảo chi tiết khoá học tại: Link
![]() |
![]() |
![]() |
![]() |
![]() |
![]() |
Hỗ trợ - Hướng dẫn
-
024.7300.7989
-
1800.6947
(Thời gian hỗ trợ từ 7h đến 22h)
Email: lienhe@tuyensinh247.com












