Chuyển các phân số sau về phân số thập phân có mẫu số bằng
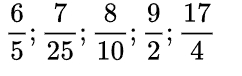
Chuyển các phân số sau về phân số thập phân có mẫu số bằng 100:

Quảng cáo
Quy đồng phân số bằng cách nhân cả tử và mẫu với cùng một số sao cho mẫu của phân số mới là 100
>> Học trực tuyến các môn Toán, Tiếng Việt, Tiếng Anh lớp 5 trên Tuyensinh247.com. Cam kết giúp con lớp 5 học tốt, hoàn trả học phí nếu học không hiệu quả. PH/HS tham khảo chi tiết khoá học tại: Link
![]() |
![]() |
![]() |
Hỗ trợ - Hướng dẫn
-
024.7300.7989
-
1800.6947
(Thời gian hỗ trợ từ 7h đến 22h)
Email: lienhe@tuyensinh247.com







