Bản đồ điện thế của một vùng không gian được mô tả theo đường đồng mức (đường
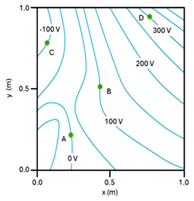
Bản đồ điện thế của một vùng không gian được mô tả theo đường đồng mức (đường đẳng thế) nhu hình vẽ. Một điện tích điểm \(q = 8\,\,\mu C\) dịch chuyển từ điểm A lần lượt qua các điểm B, C rồi đến D. Công của lực điện thực hiện lên điện tích có giá trị bao nhiêu?

Đáp án đúng là: C
Quảng cáo
Công của lực điện tác dụng lên điện tích không phụ thuộc vào hình dạng đường đi mà chỉ phụ thuộc vào điểm đầu và điểm cuối
Công của lực điện dịch chuyển từ M đến N: \({A_{MN}} = \left( {{V_M} - {V_N}} \right)q\)
Đáp án cần chọn là: C
>> 2K9 Chú ý! Lộ Trình Sun 2027 - 1 lộ trình ôn đa kỳ thi (TN THPT, ĐGNL (Hà Nội/ Hồ Chí Minh), ĐGNL Sư Phạm, ĐGTD, ĐGNL Bộ Công an, ĐGNL Bộ Quốc phòngTD - Click xem ngay) tại Tuyensinh247.com. Cập nhật bám sát bộ SGK mới, Thầy Cô giáo giỏi, 3 bước chi tiết: Nền tảng lớp 12; Luyện thi chuyên sâu; Luyện đề đủ dạng đáp ứng mọi kì thi.
![]() |
![]() |
![]() |
![]() |
![]() |
![]() |
![]() |
![]() |
Hỗ trợ - Hướng dẫn
-
024.7300.7989
-
1800.6947
(Thời gian hỗ trợ từ 7h đến 22h)
Email: lienhe@tuyensinh247.com












