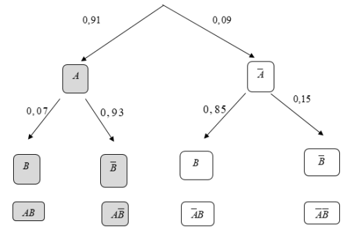
Giả sử trong một nhóm người có \(91 \%\) người là không nhiễm bệnh. Để
Giả sử trong một nhóm người có \(91 \%\) người là không nhiễm bệnh. Để phát hiện ra người nhiễm bệnh, người ta tiến hành xét nghiệm tất cả mọi người của nhóm đó. Biết rằng đối với người nhiễm bệnh thì xác suất xét nghiệm có kết quả dương tính là \(85 \%\), nhưng đối với người không nhiễm bệnh thì xác suất xét nghiệm có phản ứng dương tính là \(7 \%\). Tính xác suất để người được chọn ra không nhiễm bệnh và không có phản ứng dương tính (làm tròn đến hàng phần trăm).
Đáp án đúng là:
Quảng cáo
Đáp án cần điền là: 0,85
>> 2K9 Chú ý! Lộ Trình Sun 2027 - 1 lộ trình ôn đa kỳ thi (TN THPT, ĐGNL (Hà Nội/ Hồ Chí Minh), ĐGNL Sư Phạm, ĐGTD, ĐGNL Bộ Công an, ĐGNL Bộ Quốc phòngTD - Click xem ngay) tại Tuyensinh247.com. Cập nhật bám sát bộ SGK mới, Thầy Cô giáo giỏi, 3 bước chi tiết: Nền tảng lớp 12; Luyện thi chuyên sâu; Luyện đề đủ dạng đáp ứng mọi kì thi.
![]() |
![]() |
![]() |
![]() |
![]() |
![]() |
![]() |
![]() |
Hỗ trợ - Hướng dẫn
-
024.7300.7989
-
1800.6947
(Thời gian hỗ trợ từ 7h đến 22h)
Email: lienhe@tuyensinh247.com













