Cao su thiên nhiên có nhiều ứng dụng trong đời sống. Một đoạn mạch cao su thiên nhiên có cấu
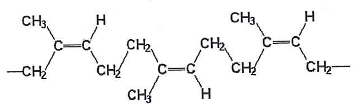
Cao su thiên nhiên có nhiều ứng dụng trong đời sống. Một đoạn mạch cao su thiên nhiên có cấu tạo như hình dưới đây:

Nhận định nào dưới đây về đoạn mạch trên chính xác?
Đáp án đúng là: B
Quảng cáo
Đặc điểm cấu tạo, tính chất hóa học vật liệu polymer.
Phương pháp điều chế polymer.
Xác định số lượng mắt xích trong phân tử.
Đáp án cần chọn là: B
>> 2K9 Chú ý! Lộ Trình Sun 2027 - 1 lộ trình ôn đa kỳ thi (TN THPT, ĐGNL (Hà Nội/ Hồ Chí Minh), ĐGNL Sư Phạm, ĐGTD, ĐGNL Bộ Công an, ĐGNL Bộ Quốc phòngTD - Click xem ngay) tại Tuyensinh247.com. Cập nhật bám sát bộ SGK mới, Thầy Cô giáo giỏi, 3 bước chi tiết: Nền tảng lớp 12; Luyện thi chuyên sâu; Luyện đề đủ dạng đáp ứng mọi kì thi.
![]() |
![]() |
![]() |
![]() |
![]() |
![]() |
![]() |
![]() |
Hỗ trợ - Hướng dẫn
-
024.7300.7989
-
1800.6947
(Thời gian hỗ trợ từ 7h đến 22h)
Email: lienhe@tuyensinh247.com












