Phenol được tổng hợp từ cumene (isopropylbenzene) bằng phản ứng oxi hóa bởi oxygen rồi
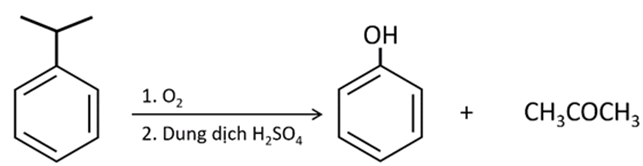
Phenol được tổng hợp từ cumene (isopropylbenzene) bằng phản ứng oxi hóa bởi oxygen rồi thủy phân trong môi trường acid thu được hai sản phẩm là phenol và acetone theo phương trình hóa học sau:

Người ta tiến hành điều chế phenol từ 2 tấn cumene. Khối lượng (kg) phenol điều chế được từ lượng cumene trên là (Biết hiệu suất phản ứng là 90%).
Đáp án đúng là: 1410
Quảng cáo
Tính theo PTHH.
Đáp án cần điền là: 1410
>> 2K9 Chú ý! Lộ Trình Sun 2027 - 1 lộ trình ôn đa kỳ thi (TN THPT, ĐGNL (Hà Nội/ Hồ Chí Minh), ĐGNL Sư Phạm, ĐGTD, ĐGNL Bộ Công an, ĐGNL Bộ Quốc phòngTD - Click xem ngay) tại Tuyensinh247.com. Cập nhật bám sát bộ SGK mới, Thầy Cô giáo giỏi, 3 bước chi tiết: Nền tảng lớp 12; Luyện thi chuyên sâu; Luyện đề đủ dạng đáp ứng mọi kì thi.
![]() |
![]() |
![]() |
![]() |
![]() |
![]() |
![]() |
![]() |
Hỗ trợ - Hướng dẫn
-
024.7300.7989
-
1800.6947
(Thời gian hỗ trợ từ 7h đến 22h)
Email: lienhe@tuyensinh247.com












