Đọc văn bản và trả lời 3 câu tiếp
Đọc văn bản và trả lời 3 câu tiếp theo

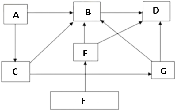
Trả lời cho các câu 1, 2, 3, 4 dưới đây:
Loài [input] tham gia vào nhiều chuỗi thức ăn nhất.
Đáp án đúng là: B
Phân tích lưới thức ăn và mỗi quan hệ của các loài trong từng chuỗi thức ăn.
Đáp án cần điền là: B
Chuỗi thức ăn dài nhất có bậc dinh dưỡng.
Đáp án đúng là: 4
Phân tích lưới thức ăn và mỗi quan hệ của các loài trong từng chuỗi thức ăn.
Đáp án cần điền là: 4
Theo lí thuyết, lưới thức ăn trên có tổng số chuỗi thức ăn.
Đáp án đúng là: 6
Phân tích lưới thức ăn và mỗi quan hệ của các loài trong từng chuỗi thức ăn.
Đáp án cần điền là: 6
Loài sẽ bị ảnh hưởng nhiều nhất nếu loài C bị biến mất khỏi quần xã trên.
Đáp án đúng là: G
Phân tích lưới thức ăn và mỗi quan hệ của các loài trong từng chuỗi thức ăn.
Đáp án cần điền là: G
Quảng cáo
>> 2K9 Chú ý! Lộ Trình Sun 2027 - 1 lộ trình ôn đa kỳ thi (TN THPT, ĐGNL (Hà Nội/ Hồ Chí Minh), ĐGNL Sư Phạm, ĐGTD, ĐGNL Bộ Công an, ĐGNL Bộ Quốc phòngTD - Click xem ngay) tại Tuyensinh247.com. Cập nhật bám sát bộ SGK mới, Thầy Cô giáo giỏi, 3 bước chi tiết: Nền tảng lớp 12; Luyện thi chuyên sâu; Luyện đề đủ dạng đáp ứng mọi kì thi.
![]() |
![]() |
![]() |
![]() |
![]() |
![]() |
![]() |
![]() |
Hỗ trợ - Hướng dẫn
-
024.7300.7989
-
1800.6947
(Thời gian hỗ trợ từ 7h đến 22h)
Email: lienhe@tuyensinh247.com












