Nghiên cứu động học của phản ứng bậc nhất tổng quát: A ⟶ sản phẩm (*)Ban đầu (t = 0),
Nghiên cứu động học của phản ứng bậc nhất tổng quát: A ⟶ sản phẩm (*)
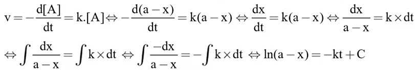
Ban đầu (t = 0), số mol chất A là a mol, tại thời điểm t chất A đã phản ứng x mol, như vậy tại thời điểm này chất A còn a – x (mol).
Với k là hằng số tốc độ, tốc độ của phản ứng (*) được biểu diễn bởi phương trình

Trả lời cho các câu 1, 2, 3 dưới đây:
Sử dụng dự kiện khởi đầu ta có thể tính được giá trị của hằng số C bằng
Đáp án đúng là: B
Phân tích dữ liệu đề bài.
Đáp án cần chọn là: B
Biểu thức nào dưới đây biểu diễn đúng mối quan hệ của t theo k, a và x?
Đáp án đúng là: A
Dựa vào biểu thức: ln(a – x) = -kt + C
Đáp án cần chọn là: A
Khoảng thời gian để chất A phản ứng còn một nửa lượng chất được gọi là thời gian bán hủy hay chu kì bán hủy kí hiệu là t1/2. Một mẩu than lấy từ hang động ở vùng núi đá vôi tỉnh Hòa Bình có 9,4 phân hủy 14C. Chu kỳ bán hủy của 14C là 5730 năm, trong khí quyển có 15,3 phân hủy 14C. Hằng số tốc độ của phản ứng phân hủy đang xét là
Đáp án đúng là: D
Dựa vào biểu thức: \(t = \dfrac{1}{k}.\ln \dfrac{a}{{a - x}}\)
Đáp án cần chọn là: D
Quảng cáo
>> 2K9 Chú ý! Lộ Trình Sun 2027 - 1 lộ trình ôn đa kỳ thi (TN THPT, ĐGNL (Hà Nội/ Hồ Chí Minh), ĐGNL Sư Phạm, ĐGTD, ĐGNL Bộ Công an, ĐGNL Bộ Quốc phòngTD - Click xem ngay) tại Tuyensinh247.com. Cập nhật bám sát bộ SGK mới, Thầy Cô giáo giỏi, 3 bước chi tiết: Nền tảng lớp 12; Luyện thi chuyên sâu; Luyện đề đủ dạng đáp ứng mọi kì thi.
![]() |
![]() |
![]() |
![]() |
![]() |
![]() |
![]() |
![]() |
Hỗ trợ - Hướng dẫn
-
024.7300.7989
-
1800.6947
(Thời gian hỗ trợ từ 7h đến 22h)
Email: lienhe@tuyensinh247.com












