Dòng điện xoay chiều
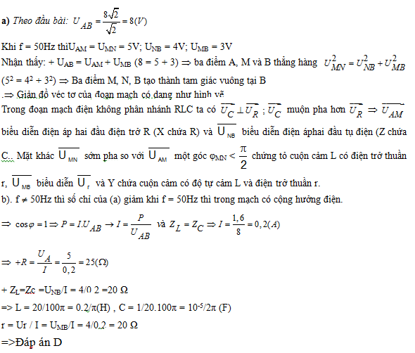
Cho mạch điện chứa ba linh kiện ghép nối tiếp: R, L (thuần) và C. Mỗi linh kiện chứa trong một hộp kín X, Y, Z. Đặt vào hai đầu A, B của mạch điện một điện ápxoay chiều u =8√2sin2πft (V). Khi f = 50Hz, dùng một vôn kế đo lần lượt được UAM = UMN = 5V, UNB = 4V; UMB = 3V. Dùng oát kế đo công suất mạch được P = 1,6W .Khi f ¹ 50Hz thì số chỉ của ampe kế giảm. Biết RA ≈ 0; RV ≈ ∞. Mỗi hộp kín X, Y, Z chứa linh kiện gì? Tìm giá trị của các linh kiện.

Đáp án đúng là: D
Quảng cáo
Đáp án cần chọn là: D
>> 2K9 Chú ý! Lộ Trình Sun 2027 - 1 lộ trình ôn đa kỳ thi (TN THPT, ĐGNL (Hà Nội/ Hồ Chí Minh), ĐGNL Sư Phạm, ĐGTD, ĐGNL Bộ Công an, ĐGNL Bộ Quốc phòngTD - Click xem ngay) tại Tuyensinh247.com. Cập nhật bám sát bộ SGK mới, Thầy Cô giáo giỏi, 3 bước chi tiết: Nền tảng lớp 12; Luyện thi chuyên sâu; Luyện đề đủ dạng đáp ứng mọi kì thi.
![]() |
![]() |
![]() |
![]() |
![]() |
![]() |
![]() |
![]() |
Hỗ trợ - Hướng dẫn
-
024.7300.7989
-
1800.6947
(Thời gian hỗ trợ từ 7h đến 22h)
Email: lienhe@tuyensinh247.com














