Kevlar là một polymer có độ bền rất cao. Sợi kevlar có độ bền gấp 5 lần thép nhưng cũng rất
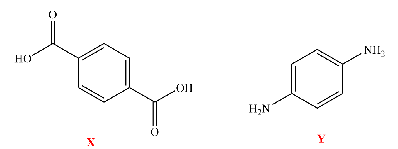
Kevlar là một polymer có độ bền rất cao. Sợi kevlar có độ bền gấp 5 lần thép nhưng cũng rất dẻo dai vì có thể ngăn mũi tên, giáo mác, dao rựa và… răng chó xuyên thủng. Kevlar được sử dụng trong nhiều ứng dụng khác nhau từ lốp xe, thuyền buồm, áo giáp,... Kevlar được điều chế bằng phản ứng giữa hai chất sau:

| Đúng | Sai | |
|---|---|---|
| a) Kevlar thuộc loại polyamide được điều chế từ phản ứng trùng hợp 1,3-diaminebenzene và terephthalic acid. | ||
| b) Kevlar được sử dụng sản xuất để áo giáp chống đạn, những công cụ bảo hộ khác như gồm quần áo chống cháy cho nhân viên cứu hỏa, mũ bảo hộ, găng tay chống cắt, chống đâm thủng. | ||
| c) Công thức một mắt xích trong Kevlar là -NH-C6H4-CO-NH-C6H4-CO-. | ||
| d) Dung dịch có môi trường base hoặc acid làm giảm chất lượng vải làm từ sợi kevlar. |
Đáp án đúng là: S; Đ; S; Đ
Quảng cáo
a) Phương pháp tổng hợp polymer:
+) Trùng hợp là quá trình kết hợp nhiều phân tử nhỏ giống nhau hoặc tương tự nhau tạo thành phân tử khối lớn (polymer).
+) Trùng ngưng quá trình kết hợp nhiều phân tử nhỏ (monomer) thành phân tử lớn (polymer) đồng thời giải phóng những phân tử nhỏ khác (thường là nước).
b) Ứng dụng sợi kevlar.
c) Monomer xác định công thức mắt xích.
d) Polyamide kèm bền trong môi trường base, acid do liên kết CO-NH dễ bị thuỷ phân.
Đáp án cần chọn là: S; Đ; S; Đ
>> 2K9 Chú ý! Lộ Trình Sun 2027 - 1 lộ trình ôn đa kỳ thi (TN THPT, ĐGNL (Hà Nội/ Hồ Chí Minh), ĐGNL Sư Phạm, ĐGTD, ĐGNL Bộ Công an, ĐGNL Bộ Quốc phòngTD - Click xem ngay) tại Tuyensinh247.com. Cập nhật bám sát bộ SGK mới, Thầy Cô giáo giỏi, 3 bước chi tiết: Nền tảng lớp 12; Luyện thi chuyên sâu; Luyện đề đủ dạng đáp ứng mọi kì thi.
![]() |
![]() |
![]() |
![]() |
![]() |
![]() |
![]() |
![]() |
Hỗ trợ - Hướng dẫn
-
024.7300.7989
-
1800.6947
(Thời gian hỗ trợ từ 7h đến 22h)
Email: lienhe@tuyensinh247.com













