Histidine là một α-amoni acid thiết yếu, có vai trò quan trọng trong quá trình trao đổi chất của
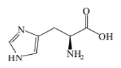
Histidine là một α-amoni acid thiết yếu, có vai trò quan trọng trong quá trình trao đổi chất của cơ thể (công thức cấu tạo như hình bên). Phát biểu nào sau đây sai?

Đáp án đúng là: A
Quảng cáo
Tính chất hoá học amino acid: phản ứng với dung dịch acid, base.
Đáp án cần chọn là: A
>> 2K9 Chú ý! Lộ Trình Sun 2027 - 1 lộ trình ôn đa kỳ thi (TN THPT, ĐGNL (Hà Nội/ Hồ Chí Minh), ĐGNL Sư Phạm, ĐGTD, ĐGNL Bộ Công an, ĐGNL Bộ Quốc phòngTD - Click xem ngay) tại Tuyensinh247.com. Cập nhật bám sát bộ SGK mới, Thầy Cô giáo giỏi, 3 bước chi tiết: Nền tảng lớp 12; Luyện thi chuyên sâu; Luyện đề đủ dạng đáp ứng mọi kì thi.
![]() |
![]() |
![]() |
![]() |
![]() |
![]() |
![]() |
![]() |
Hỗ trợ - Hướng dẫn
-
024.7300.7989
-
1800.6947
(Thời gian hỗ trợ từ 7h đến 22h)
Email: lienhe@tuyensinh247.com












