Tryptophan là một α-amino acid rất quan trọng đối với nhiều cơ quan trong cơ thể nhưng tryptophan
Tryptophan là một α-amino acid rất quan trọng đối với nhiều cơ quan trong cơ thể nhưng tryptophan không được cơ thể tạo ra mà phải được bổ sung từ thức ăn. Phân tử tryptophan chứa vòng indole, công thức cấu tạo của tryptophan và vòng indole như sau:

a) Cơ quan An toàn Thực phẩm Pháp (Afssa) ước tính rằng nhu cầu tryptophan trung bình của cơ thể hằng ngày là 200 mg. Một loại thịt bò chứa 1,574.10-3 mol tryptophan trong 100 g. Hãy tính khối lượng thịt bò cần để cung cấp 200 mg tryptophan.
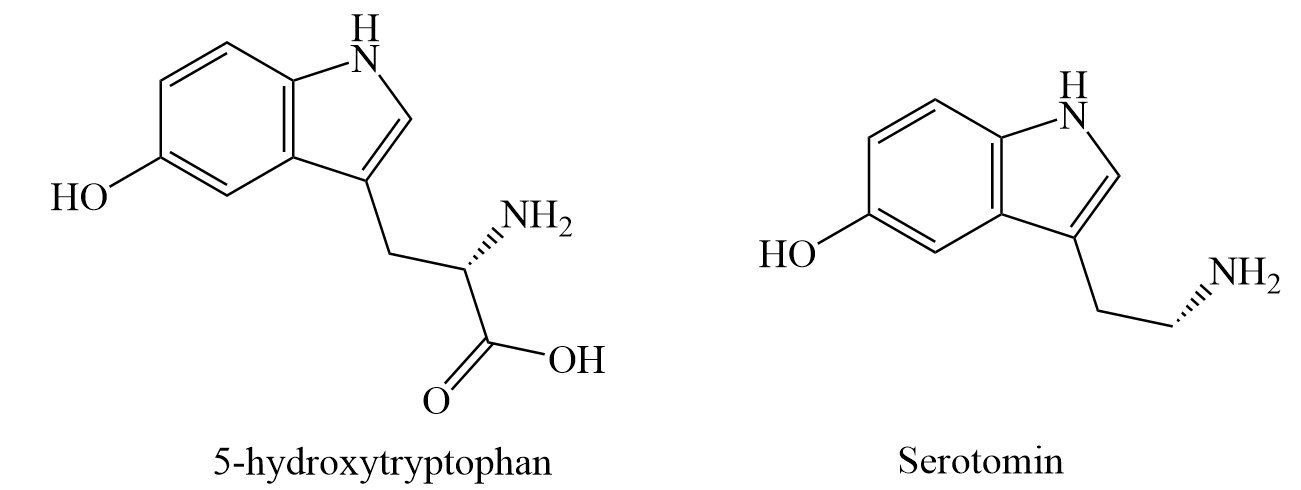
b) Sau khi cơ thể hấp thụ tryptophan từ thức ăn, enzyme tryptophan hydroxylase sẽ hydroxyl hóa tryptophan thành chất 5-Hydroxytryptophan. Sau đó 5-Hydroxytryptophan chuyển hóa thành serotonin. Serotonin là một hormone truyền tín hiệu giữa các tế bào thần kinh. Phân tích cấu trúc xác định được serotonin không chứa nhóm –COOH, vẫn còn nhóm –NH₂ và nhóm –OH phenol, khối lượng phân tử của serotonin là 176. Viết công thức cấu tạo của 5-Hydroxytryptophan và serotonin.
c) Tính khối lượng serotonin tạo thành khi cơ thể bổ sung 200 mg tryptophan. Giả sử hiệu suất chuyển hóa từ tryptophan thành serotonin là 100%.
d) Một số nghiên cứu chỉ ra rằng hormone melatonin giúp cải thiện hiệu quả giấc ngủ. Melatonin được tạo thành từ sự chuyển hóa serotonin. Serotonin được enzyme AANAT (arylalkylamine N-acetyltransferase) acetyl hóa thành N-acetylserotonin. Phân tích biết được N-acetylserotonin vẫn chứa vòng indole và chứa nhóm –NH–CO–CH₃, có khối lượng phân tử là 218. Sau đó N-acetylserotonin được methyl hoá thành melatonin bởi enzyme ASMT (acetylserotonin O-methyltransferase). Phân tích cấu trúc melatonin, xác định được melatonin chứa nhóm –OCH₃ liên kết với vòng indole và vẫn chứa nhóm –NH–CO–CH₃. Xác định công thức cấu tạo của N-acetylserotonin và melatonin.
Quảng cáo
a) 100 gam thịt bò ⟶ maa
⟹ Khối lượng thịt bò cần để cung cấp 200 mg tryptophan
b), d) Dựa vào sơ đồ chuyển hoá, xác định công thức cấu tạo của chất.
c) 1 mol amino acid ⟶ 1 mol serotomin
⟹ $m_{seroto\min}$
>> 2K9 Chú ý! Lộ Trình Sun 2027 - 1 lộ trình ôn đa kỳ thi (TN THPT, ĐGNL (Hà Nội/ Hồ Chí Minh), ĐGNL Sư Phạm, ĐGTD, ĐGNL Bộ Công an, ĐGNL Bộ Quốc phòngTD - Click xem ngay) tại Tuyensinh247.com. Cập nhật bám sát bộ SGK mới, Thầy Cô giáo giỏi, 3 bước chi tiết: Nền tảng lớp 12; Luyện thi chuyên sâu; Luyện đề đủ dạng đáp ứng mọi kì thi.
![]() |
![]() |
![]() |
![]() |
![]() |
![]() |
![]() |
![]() |
Hỗ trợ - Hướng dẫn
-
024.7300.7989
-
1800.6947
(Thời gian hỗ trợ từ 7h đến 22h)
Email: lienhe@tuyensinh247.com














