Trong quá trình truyền tải điện năng từ máy phát điện đến nơi tiêu thụ. Công suất nơi tiêu
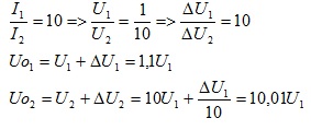
Trong quá trình truyền tải điện năng từ máy phát điện đến nơi tiêu thụ. Công suất nơi tiêu thụ(tải) luôn được giữa không đổi.Khi hiệu điện thế hiệu dụng hai đầu tải là U thì độ giảm thế trên đường dây bằng 0,1 U.Giả sử hệ số công suất nơi tiêu thụ bằng 1.Để hao phí truyền tải giảm đi 100 lần so với trường hợp đầu thì phải nâng hiệu điện thế hai đầu máy phát điện lên đến
Đáp án đúng là: D
Quảng cáo
Đáp án cần chọn là: D
>> 2K9 Chú ý! Lộ Trình Sun 2027 - 1 lộ trình ôn đa kỳ thi (TN THPT, ĐGNL (Hà Nội/ Hồ Chí Minh), ĐGNL Sư Phạm, ĐGTD, ĐGNL Bộ Công an, ĐGNL Bộ Quốc phòngTD - Click xem ngay) tại Tuyensinh247.com. Cập nhật bám sát bộ SGK mới, Thầy Cô giáo giỏi, 3 bước chi tiết: Nền tảng lớp 12; Luyện thi chuyên sâu; Luyện đề đủ dạng đáp ứng mọi kì thi.
![]() |
![]() |
![]() |
![]() |
![]() |
![]() |
![]() |
![]() |
Hỗ trợ - Hướng dẫn
-
024.7300.7989
-
1800.6947
(Thời gian hỗ trợ từ 7h đến 22h)
Email: lienhe@tuyensinh247.com













