1. Methane hydrate (băng cháy) có công thức chung (CH4)x.(H2O)y là một tinh thể rắn gồm khí methane
1. Methane hydrate (băng cháy) có công thức chung (CH4)x.(H2O)y là một tinh thể rắn gồm khí methane bị "giam giữ" trong mạng lưới nước đá, được hình thành trong điều kiện nhiệt độ thấp và áp suất cao ở đáy biển. Khi đốt cháy trong oxygen, methane hydrate giải phóng năng lượng lớn, chỉ tạo ra CO2 và H2O. Do đó, methane hydrate có thể trở thành nguồn năng lượng sạch tiềm năng nhưng khai thác băng cháy cũng tiềm ẩn nguy cơ lớn với môi trường nếu CH4 thoát ra mất kiểm soát trong quá trình khai thác.
Đốt cháy hoàn toàn 35,85 gam một mẫu methane hydrate trong bình kín có chứa dư O2. Sau phản ứng thu được CO2 và H2O. Toàn bộ lượng khí CO2 sinh ra được dẫn vào dung dịch nước vôi trong dư, tạo thành 30 gam kết tủa trắng.
a) Xác định tỉ lệ x : y trong công thức methane hydrate của mẫu trên.
b) Một mỏ methane hydrate dưới đáy biển chứa 5,00.10 mol CH4. Tính nhiệt lượng toả ra khi đốt cháy toàn bộ lượng methane này. Lượng nhiệt tính được tương ứng với đốt cháy bao nhiêu tấn than đá. Biết nhiệt toả ra khi đốt cháy 1 mol methane là 890 kJ và nhiệt toả ra khi đốt cháy 1 gam than đá là 27 kJ.
c) Trong quá trình khai thác băng cháy nếu khí CH4 thoát ra mất kiểm soát sẽ gây ảnh hưởng thế nào đối với biến đổi khí hậu?
2. Phản ứng ozone phân thường được dùng để xác định cấu tạo của hydrocarbon không no, trong phản ứng này liên kết đôi C=C bị oxi hóa bằng phản ứng ozone phân khử hoặc ozone phân oxi hóa tạo ra các sản phẩm hữu cơ chứa oxygen
Ozone phân khử:

(R1, R2, R3, R4 là các gốc hydrocarbon hoặc nguyên tử H)
Ozone phân oxi hoá:

(R1, R3, R4 là các gốc hydrocarbon)
a) Tiến hành ozone phân khử hydrocarbon X có công thức cấu tạo CH3-CH=C(CH3)2 thu được X, và X2. Mặt khác tiến hành ozone phân oxi hoá X thu được X2 và X3. Viết công thức cấu tạo của các chất hữu cơ X1, X2, X3.
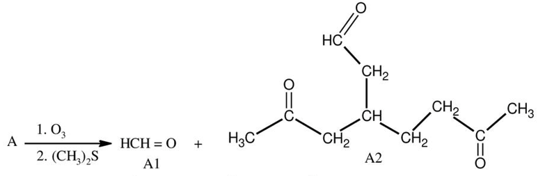
b) Tiến hành phân tích nguyên tố hydrocarbon A, thu được kết quả trong A chứa 88% carbon về khối lượng, còn lại là hydrogen. Dựa vào phổ khối lượng xác định được phân tử khối của A bằng 150. Tiến hành ozone phân khử A, thu được A1 và A2 theo sơ đồ sau:

Xác định công thức phân tử và viết công thức cấu tạo có thể có của A.
Quảng cáo
1. a)Phản ứng đốt cháy methane
Tính chất hoá học oxide acid
Tính theo phương trình xác định tỉ lệ x : y
b) - Nhiệt lượng do methane hydrate:
- Khối lượng than đá:
c) Ảnh hưởng khí CO2 tới môi trường.
2. a) Ozone phân khử:

(R1, R2, R3, R4 là các gốc hydrocarbon hoặc nguyên tử H)
Ozone phân oxi hoá:

Xác định X, X1, X2
b) Xác định công thức cấu tạo A
>> Học trực tuyến lớp 9 và Lộ trình UP10 trên Tuyensinh247.com Đầy đủ khoá học các bộ sách: Kết nối tri thức với cuộc sống; Chân trời sáng tạo; Cánh diều. Lộ trình học tập 3 giai đoạn: Học nền tảng lớp 9, Ôn thi vào lớp 10, Luyện Đề. Bứt phá điểm lớp 9, thi vào lớp 10 kết quả cao. Hoàn trả học phí nếu học không hiệu quả. PH/HS tham khảo chi tiết khoá học tại: Link
![]() |
![]() |
![]() |
![]() |
![]() |
![]() |
Hỗ trợ - Hướng dẫn
-
024.7300.7989
-
1800.6947
(Thời gian hỗ trợ từ 7h đến 22h)
Email: lienhe@tuyensinh247.com











