Glucose vừa là chất dinh dưỡng có giá trị đối với con người vừa có
Glucose vừa là chất dinh dưỡng có giá trị đối với con người vừa có nhiều ứng dụng trong thực tế. Trong công nghiệp, glucose được dùng để tráng bạc, sản xuất ethylic alcohol (ethanol), lactic acid.
1. Trong công nghiệp sản xuất ruột phích, mặt bên trong ruột phích được tráng một lớp bạc mỏng nhằm tăng khả năng giữ nhiệt. Một ruột phích có diện tích bề mặt bên trong là 0,35 m. Để tráng được 2000 ruột phích như trên với độ dày lớp bạc là 0,1 um thì cần dùng m gam glucose tác dụng với lượng dư dung dịch AgNO3 trong NH3 (Ag2O/NH3). Biết hiệu suất phản ứng tráng bạc là 70%; khối lượng riêng của bạc là 10,49 g/cm3; 1 um = 10 m. Tính m.
2. Người ta sản xuất rượu vang từ quá trình lên men quả nho với hiệu suất 95%. Giả sử trong loại nho này chứa 60% glucose còn lại là các chất không bị lên men thành ethylic alcohol, khối lượng riêng của ethylic alcohol là 0,8 g/mL. Để sản xuất 100 lít rượu vang 15° cần x kg nho. Tính x.
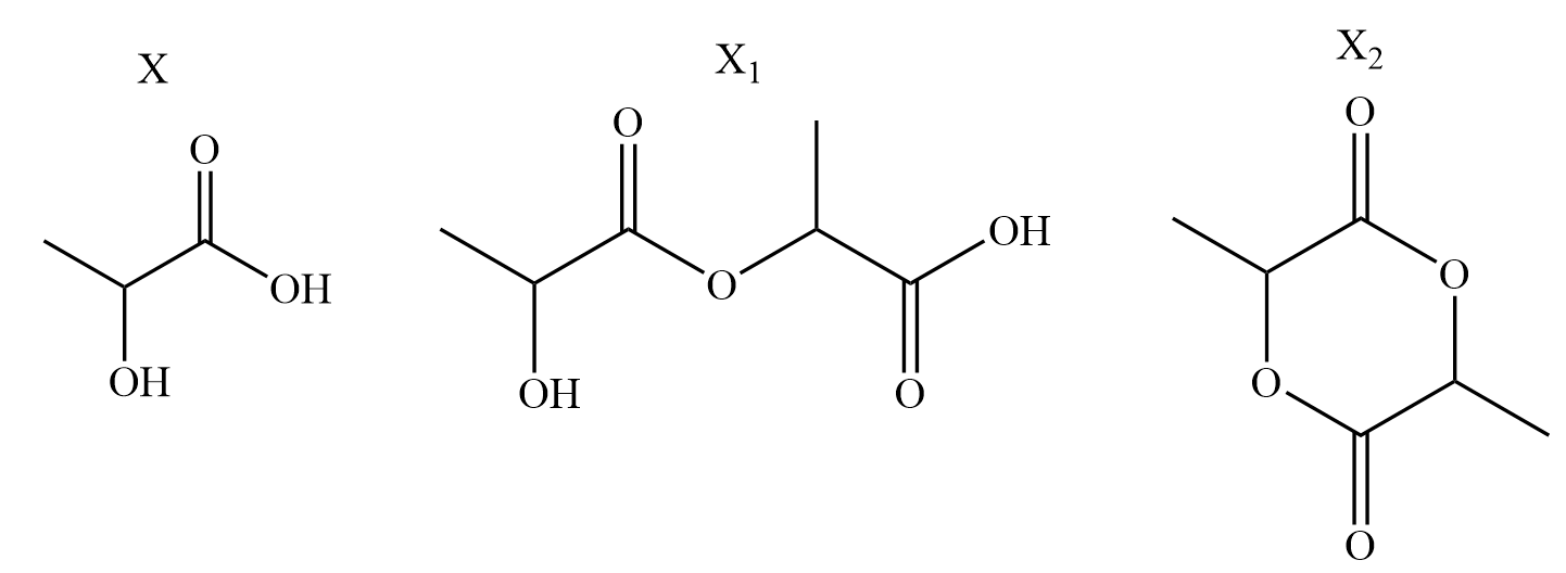
3. Lên men lactic glucose thu được chất hữu cơ X. Bằng phương pháp phổ khối lượng (MS), xác định được phân tử khối của X là 90. Bằng các phương pháp phổ hiện đại khác xác định được phân tử X có chứa nhóm chức –COOH và nhóm –OH cùng liên kết với một nguyên tử carbon.
a) Xác định công thức phân tử và công thức cấu tạo của X.
b) Khi đun nóng X với sulfuric acid đặc thu được hợp chất X1, sau đó X, chuyển hóa thành X2. Kết quả phân tích phổ hiện đại xác định được phân tử khối của X2 bằng 144, trong phân tử X2 có nhóm –CH3 và chỉ chứa một loại nhóm chức. Xác định công thức cấu tạo của X1, X2 và viết các phương trình hoá học theo mô tả ở trên.
Biết rằng các chất trong phân tử chứa nhóm –OH có tính chất tương tự ethylic alcohol, các chất trong phân tử chứa nhóm COOH có tính chất tương tự acetic acid.
Quảng cáo
1.Tính chất hoá học của glucose
Tính theo phương trình phản ứng.
2. Phản ứng lên men glucose
Tính theo phương trình phản ứng
3. Đặt công thức của X là OH – R – COOH
$\left. M_{X} = 17 + R + 45 = 90\Rightarrow R \right.$
⟹ X có công thức
CTPT X:
X2 có nhóm -CH3 và chỉ chứa 1 loại nhóm chức
⟹ CTCT của X, X1, X2
>> Học trực tuyến lớp 9 và Lộ trình UP10 trên Tuyensinh247.com Đầy đủ khoá học các bộ sách: Kết nối tri thức với cuộc sống; Chân trời sáng tạo; Cánh diều. Lộ trình học tập 3 giai đoạn: Học nền tảng lớp 9, Ôn thi vào lớp 10, Luyện Đề. Bứt phá điểm lớp 9, thi vào lớp 10 kết quả cao. Hoàn trả học phí nếu học không hiệu quả. PH/HS tham khảo chi tiết khoá học tại: Link
![]() |
![]() |
![]() |
![]() |
![]() |
![]() |
Hỗ trợ - Hướng dẫn
-
024.7300.7989
-
1800.6947
(Thời gian hỗ trợ từ 7h đến 22h)
Email: lienhe@tuyensinh247.com











