Một con lắc đơn gồm dây dài ℓ, vật nhỏ khối lượng m tích điện q>0 dao động điều
Một con lắc đơn gồm dây dài ℓ, vật nhỏ khối lượng m tích điện q>0 dao động điều hòa tại nơi có vectơ cường độ điện trường
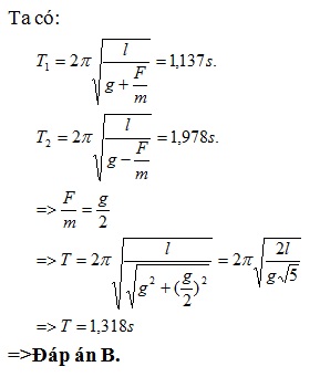
theo phương ngang với chu kì T. Bỏ qua ma sát và lực cản không khí. Nếu điều chỉnh điện trường sao cho
quay trong mặt phẳng thẳng đứng chứa nó một góc 300 so với ban đầu, còn độ lớn không đổi thì chu kỳ dao động điều hòa bằng 1,978s hoặc 1,137s. Giá trị chu kì dao động T của con lắc là
Đáp án đúng là: B
Quảng cáo
Đáp án cần chọn là: B
>> 2K9 Chú ý! Lộ Trình Sun 2027 - 1 lộ trình ôn đa kỳ thi (TN THPT, ĐGNL (Hà Nội/ Hồ Chí Minh), ĐGNL Sư Phạm, ĐGTD, ĐGNL Bộ Công an, ĐGNL Bộ Quốc phòngTD - Click xem ngay) tại Tuyensinh247.com. Cập nhật bám sát bộ SGK mới, Thầy Cô giáo giỏi, 3 bước chi tiết: Nền tảng lớp 12; Luyện thi chuyên sâu; Luyện đề đủ dạng đáp ứng mọi kì thi.
![]() |
![]() |
![]() |
![]() |
![]() |
![]() |
![]() |
![]() |
Hỗ trợ - Hướng dẫn
-
024.7300.7989
-
1800.6947
(Thời gian hỗ trợ từ 7h đến 22h)
Email: lienhe@tuyensinh247.com













