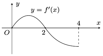
Cho hàm số $f(x)$ có đồ thị của hàm số $y = f'(x)$ như hình vẽ. Biết $f(0) + f(1) - 2f(2) = f(4) -
Cho hàm số $f(x)$ có đồ thị của hàm số $y = f'(x)$ như hình vẽ.

Biết $f(0) + f(1) - 2f(2) = f(4) - f(3)$. Giá trị nhỏ nhất $m$, giá trị lớn nhất $M$ của hàm số $f(x)$ trên đoạn $\left\lbrack {0;4} \right\rbrack$ là
Đáp án đúng là: B
Quảng cáo
Lập bảng biến thiên của hàm $f(x)$ tìm GTLN
Từ điều kiện $f(0) + f(1) - 2f(2) = f(4) - f(3)$ đánh giá để tìm GTNN
Đáp án cần chọn là: B
>> 2K9 Chú ý! Lộ Trình Sun 2027 - 1 lộ trình ôn đa kỳ thi (TN THPT, ĐGNL (Hà Nội/ Hồ Chí Minh), ĐGNL Sư Phạm, ĐGTD, ĐGNL Bộ Công an, ĐGNL Bộ Quốc phòngTD - Click xem ngay) tại Tuyensinh247.com. Cập nhật bám sát bộ SGK mới, Thầy Cô giáo giỏi, 3 bước chi tiết: Nền tảng lớp 12; Luyện thi chuyên sâu; Luyện đề đủ dạng đáp ứng mọi kì thi.
![]() |
![]() |
![]() |
![]() |
![]() |
![]() |
![]() |
![]() |
Hỗ trợ - Hướng dẫn
-
024.7300.7989
-
1800.6947
(Thời gian hỗ trợ từ 7h đến 22h)
Email: lienhe@tuyensinh247.com













