Aspartame là một chất tạo ngọt tổng hợp được sử dụng rộng tãi trong thực phẩm và đồ
Aspartame là một chất tạo ngọt tổng hợp được sử dụng rộng tãi trong thực phẩm và đồ uống ít calo. Chất được vô tình phát hiện bởi nhà hoá học James M.Schlatter vào năm 1965 khi nghiên cứu thuốc chống loét.

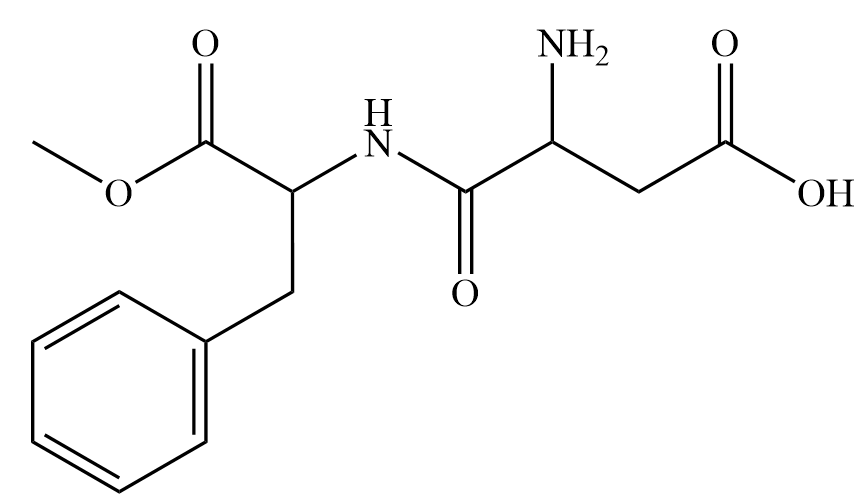
Độ ngọt của aspartame khoảng 180 – 200 lần so với đường sucrose, aspartame thường được sử dụng trong đồ uống và thực phẩm dành cho người ăn kiêng. Tổ chức Y tế thế giới (WHO) phân loại aspartame là “có thể gây ung thư cho người “ (nhóm 2B) do khi vào cơ thể bị thuỷ phân trong hệ tiêu hoá thành phenylalanine, aspartic acid, methanol, trong đó phenylalanine chất có thể gây nguy hiểm cho người mắc bệnh phenylketonuria.
Trả lời cho các câu 1, 2, 3 dưới đây:
Aspartame được tạo thành từ hai amino acid nào sau đây?
Đáp án đúng là: B
Đặc điểm cấu tạo aspartame. Dựa vào thông tin bài đọc xác định đặc điểm cấu tạo peptide.
Đáp án cần chọn là: B
Trong phân tử aspartame không có nhóm chức nào?
Đáp án đúng là: D
Đặc điểm công thức cấu tạo peptide. Một số nhóm chức trong hợp chất hữu cơ.
Đáp án cần chọn là: D
Theo khuyến nghị của các tổ chức y tế, lượng tiêu thụ chấp nhận được (ADI) của aspartame là 40 mg/kg/ngày. Lượng aspatarme tối đa một người nặng 60kg tiêu thụ một ngày là bao nhiêu?
Đáp án đúng là: C
Khối lượng aspatarme tiêu thụ một ngày: 40xCân bằng
Đáp án cần chọn là: C
Quảng cáo
>> 2K9 Chú ý! Lộ Trình Sun 2027 - 1 lộ trình ôn đa kỳ thi (TN THPT, ĐGNL (Hà Nội/ Hồ Chí Minh), ĐGNL Sư Phạm, ĐGTD, ĐGNL Bộ Công an, ĐGNL Bộ Quốc phòngTD - Click xem ngay) tại Tuyensinh247.com. Cập nhật bám sát bộ SGK mới, Thầy Cô giáo giỏi, 3 bước chi tiết: Nền tảng lớp 12; Luyện thi chuyên sâu; Luyện đề đủ dạng đáp ứng mọi kì thi.
![]() |
![]() |
![]() |
![]() |
![]() |
![]() |
![]() |
![]() |
Hỗ trợ - Hướng dẫn
-
024.7300.7989
-
1800.6947
(Thời gian hỗ trợ từ 7h đến 22h)
Email: lienhe@tuyensinh247.com













